Revista Venezolana de Gerencia (RVG)
Año 31 No. 114, 2026, e311141
Abril-Junio
ISSN 1315-9984 / e-ISSN 2477-9423
Como citar: Córdova-Aldas, V. H., Herrera-Herrera, J. B. y Santamaría-Freire, E. J. (2026). Networking, contenido digital y gestión empresarial: análisis en pequeñas y medianas empresas. Revista Venezolana De Gerencia, 31(114), e311141. https://doi.org/10.52080/rvgluz.31.114.1
Networking, contenido digital y gestión empresarial: análisis en pequeñas y medianas empresas
Córdova-Aldas, Víctor Hugo*
Herrera-Herrera, José Bernardo**
Santamaría-Freire, Edwin Javier***
Resumen
La inversión en activos intangibles y su conexión con los resultados del negocio constituyen un elemento fundamental para la gerencia moderna. El presente estudio tuvo como objetivo proponer un modelo teórico que determine la influencia del networking y el contenido digital en la gestión empresarial. La investigación tiene un enfoque cuantitativo, no experimental, de corte transversal y alcance correlacional-explicativo. Se aplicó una encuesta a una muestra de 310 pequeñas y medianas empresas de la región. Se validó el modelo con análisis factorial confirmatorio y ecuaciones estructurales. Los resultados revelaron que el Networking tiene una relación directa, positiva y estadísticamente significativa con la gestión empresarial, a diferencia del contenido digital. Se concluye que, para las pequeñas y medianas empresas, la gestión estratégica de redes de contacto es un motor fundamental del desempeño, mientras que el contenido digital ejecutado de forma táctica y desarticulada, no se traduce en valor empresarial medible.
Palabras clave: networking; contenido digital; gestión empresarial; cuadro de mando integral.
Recibido: 13.11.25 Aceptado: 19.01.26
* Esta investigación es el resultado de la ejecución del proyecto “Desarrollo de un modelo de marketing digital en la gestión estratégica de pymes de calzado de la provincia de Tungurahua desde el criterio de expertos – UTA-CONIN-2022-0282-R.
** Doctor en Economía de la Empresa y Finanzas. Docente investigador de la Universidad Técnica de Ambato (UTA), Ecuador. Docente titular de la UTA. Correo victorhcordova@uta.edu.ec. ORCID: https://orcid.org/0000-0002-3058-1112.
*** Magíster en Gestión Estratégica Empresarial. Docente investigador de la Universidad Técnica de Ambato (UTA), Ecuador. Docente titular de la UTA. Correo: josebherrera@uta.edu.ec.
**** Máster en Estadística Aplicada, docente investigador de la Universidad Técnica de Ambato (UTA), Ecuador. Docente titular de la UTA. Correo: edwinjsantamaria@uta.edu.ec. ORCID: https://orcid.org/0000-0003-2636-9685.
Networking, Digital Content and Business Management: analysis in small and medium-sized enterprises
Abstract
Addressing the disconnect between intangible asset investment and business outcomes in Small and Medium-sized Enterprises in the province of Tungurahua, this study’s main objective was to validate a theoretical model that determines the influence of Networking and Digital Content on Business Management, measured through the four perspectives of the Balanced Scorecard. The research was conducted under a quantitative approach, with a non-experimental, cross-sectional, and correlational-explanatory design. A survey was administered to a sample of 310 small and medium-sized enterprises in the region, and the data were analyzed using Confirmatory Factor Analysis to validate the constructions and Structural Equation Modeling to test the hypotheses. The results revealed that Networking has a direct, positive, and statistically significant relationship with Business Management (β = 0.644; p < 0.05), thus confirming hypothesis H1. Furthermore, it was found that Digital Content has no significant influence on Business Management (β = -0.005; p > 0.05), leading to the rejection of hypothesis H2. It is concluded that, for the small and medium-sized enterprises in the analyzed context, the strategic management of contact networks is a fundamental driver of performance, whereas digital content executed in a tactical and disjointed manner does not translate into measurable business value. As avenues for future research, it is suggested to explore the mediating role of social media as a whole and to develop models that facilitate a more strategic management of content to transform it into an asset of real value for the organization.
Keywords: networking; digital content; business management; balanced scorecard.
1. Introducción
En el actual paradigma de la Industria 4.0. la competitividad empresarial ya no reside únicamente en la optimización de activos tangibles; además, ahora está la capacidad de generar y gestionar activos intangibles (Garbelli, 2016). En el caso de las pequeñas y medianas empresas (PYMES), que constituyen el pilar de economías como la ecuatoriana. Estas organizaciones invierten recursos crecientes en la creación de comunidades en redes sociales, el desarrollo de contenido digital y la expansión de sus redes de contacto (networking). Sin embargo, esta inversión a menudo se realiza de forma táctica y desarticulada, sin una conexión clara con la estrategia corporativa global (Taiminen y Karjaluoto, 2015).
Para una PYME, a diferencia de las grandes empresas, no pueden permitirse errores de reputación ni costosos procesos para adquirir nuevos clientes; por ello, los activos intangibles como el contenido digital y el capital social (networking) son básicos de análisis. Por ello, Trequattrini et al. (2018) menciona que la gestión activa del contenido digital no solo impactaba las ventas, sino que era fundamental para construir y gestionar la reputación online. Una buena reputación, un activo intangible clave, reduce la percepción de riesgo para nuevos clientes, facilita el acceso a crédito y atrae mejor talento (Saltos-Cruz et al., 2022).
El comportamiento de las PYME no es un caso único; las dinámicas de competencia y colaboración reflejan similitudes en la región, como los clústeres textiles en Brasil o de calzado en Colombia. En estos entornos, la competitividad a menudo se sustenta más en el capital social local que en la sofisticación digital, un desafío estructural para las PYMES latinoamericanas (Gvili y Levy, 2018).
De lo expuesto, la dificultad de medir y demostrar el retorno de la inversión (ROI) de estos activos intangibles genera en la gerencia de las PYMES incertidumbre. Este fenómeno se enfrenta a una actividad en redes sociales: “me gusta”, comentarios, nuevos contactos y visualizaciones de contenido (Ukpabi et al., 2018). Esta necesidad empresarial carece de un modelo para traducir estas métricas operativas en resultados de negocio tangibles, como el aumento de la rentabilidad, la fidelización de clientes o la eficiencia de los procesos (Trainoret al., 2014).
La provincia de Tungurahua es uno de los polos comerciales y manufactureros más dinámicos de Ecuador, especialmente en los sectores de calzado, textil, carrocerías y agrícola. Esta fortaleza genera alta competitividad entre empresas locales y los importadores. Las empresas que han logrado mantener o mejorar su rentabilidad son aquellas que han invertido en la diferenciación de la marca y en la optimización de sus canales de venta (Saltos-Cruz et al., 2022).
Sin embargo, se señala que esta inversión sigue siendo incipiente y poco estructurada. Muchas PYMES incursionan en el marketing digital de forma reactiva, sin una estrategia clara que les permita construir un valor de marca sólido (un activo intangible) que justifique un precio superior y fomente la lealtad del cliente (Järvinen y Taiminen, 2016). La pandemia actuó como un catalizador para la transformación digital, pero este proceso ha sido desigual y, en muchos casos, desordenado (Akaeva et al., 2023). En esta etapa, la mayoría de las PYMES adoptaron herramientas digitales (principalmente redes sociales como Facebook, Instagram y WhatsApp Business) por necesidad de supervivencia, enfocándose casi exclusivamente en la venta directa a corto plazo.
Se identifica como problemática que las PYME en Tungurahua requieren un modelo que permita medir la creación de valor a través de activos intangibles como lo son: Networking y contenido digital (Aftab et al., 2021). Por consiguiente, el presente estudio tiene como objetivo proponer un modelo teórico que determine la influencia del networking y el contenido digital en la gestión empresarial.
Para la medición del desempeño, se adopta el modelo del Cuadro de Mando Integral de Kaplan y Norton (1996), que permite una evaluación equilibrada del éxito empresarial más allá de los indicadores puramente financieros. La variable Networking se analiza bajo la óptica de la teoría del capital social (Adler y Kwon, 2002), que conceptualiza el valor derivado de las redes relacionales. Finalmente, el enfoque de las Capacidades Dinámicas de (Teece et al., 1997) sustenta la necesidad de que las empresas adapten y reconfiguren continuamente estos activos intangibles (contenido digital) para responder a un entorno de mercado volátil.
2. Networking en la gestión empresarial
Una gestión empresarial eficaz depende de la calidad de la información sobre la que se toman las decisiones. Las redes de contacto actúan como un sistema nervioso externo para la empresa, ofreciendo información clara y oportuna. Un estudio de Ferreras-Méndez et al. (2015) demuestra que las redes de los directivos (managerial networks) son conductos cruciales para el conocimiento sobre nuevas tecnologías, cambios en las preferencias de los consumidores y movimientos de la competencia (Hollebeek y Macky, 2022).
La gestión estratégica es un vector de posicionamiento de marca, ya que permite a las PYMES construir una identidad distintiva y comunicar la propuesta de valor de forma efectiva en entornos digitales (Saltos-Cruz et al., 2025). En este sentido, las redes sociales se han convertido en aliadas para que los empresarios puedan vender, cubrir las necesidades de los clientes y atraer nuevos consumidores (Barrientos-Felipa, 2021).
Más allá de los beneficios intermedios, existe una correlación estadística directa entre la intensidad del networking y los indicadores de rendimiento empresarial (KPIs). Un metaanálisis realizado por Semrau et al. (2020) sintetiza los resultados de docenas de estudios, concluye que existe una relación positiva y significativa entre el capital social derivado del networking y el crecimiento de las empresas (medido en ventas y aumento de empleados). Las redes no solo abren puertas a nuevos clientes, sino que también mejoran la eficiencia operativa a través de la colaboración con proveedores y socios. Una gestión orientada al networking es, por definición, una gestión orientada al crecimiento (Kumar et al., 2022).
En entornos volátiles, la capacidad de una empresa para sobrevivir y adaptarse a shocks externos es un pilar de la buena gestión. Las redes de contacto actúan como un sistema de soporte y alerta temprana. Ozanne et al. (2022) afirman que la respuesta de las PYMES a las disrupciones de la cadena de suministro se relaciona con redes de proveedores y socios más fuertes y colaborativas. Esta interacción propone fuentes alternativas de insumos para compartir información sobre cuellos de botella y coordinar respuestas colectivas (Ramos et al., 2022).
De lo expuesto, se sustenta que la gestión estratégica de redes de contacto (networking) no es una actividad social, sino una competencia organizacional que crea valor tangible. Esta relación se manifiesta a través de la hipótesis:
H1: El networking tiene una relación directa y positiva con la gestión empresarial.
3. Contenido digital en la gestión empresarial
En un mercado saturado, la gestión empresarial exitosa se basa en la diferenciación. El contenido digital es la herramienta más eficaz para construir un activo intangible crucial: el capital de marca. En lugar de interrumpir con publicidad tradicional, el contenido de valor (educativo, inspirador o de entretenimiento) atrae a los clientes y posiciona a la empresa como una autoridad experta y confiable en su sector (Salonen et al., 2024).
La efectividad del marketing digital no radica en la presencia aislada en canales, sino en la capacidad de generar engagement y construir comunidades. Las estrategias deben centrarse en la interacción y la co-creación de valor con los usuarios para que el posicionamiento de marca sea genuino y duradero (Angulo-Ruiz et al., 2022). Para ello, el plan de marketing digital debe estar definido a partir de objetivos claros controlados por analítica web. Estos indicadores deben medir el retorno de la inversión (ROI) de cada acción. Esta medición permite optimizar las estrategias y asegurar que los esfuerzos digitales contribuyan efectivamente al posicionamiento y a los objetivos de negocio (Vallejo-Bojorque et al., 2021).
Para Angulo-Ruiz et al. (2022), la inversión en marketing de contenidos y el retorno de la inversión en marketing (ROMI) tienen una relación directa. Para estos autores, las empresas con estrategias de contenido consistentes y de alta calidad no solo reportan un mayor crecimiento en ventas, sino también una mayor rentabilidad en comparación con aquellas que se centran predominantemente en la publicidad tradicional (Vhatkar et al., 2024). Esto confirma que la gestión del contenido digital es una palanca directa para la creación de valor financiero; de ahí se sustenta la hipótesis:
H2: El contenido digital tiene una relación directa y positiva con la gestión empresarial.
De lo expuesto se han establecido las hipótesis y variables que se sintetizan en un solo modelo que se somete a confirmación, el mismo que está representado en el diagrama 1.
Diagrama 1
Modelo teórico de la investigación
4. Consideraciones metodológicas
La presente investigación se guía a través del enfoque cuantitativo; este enfoque es pertinente, ya que busca medir la intensidad de la relación entre las variables de estudio (networking, contenido digital y gestión empresarial) y probar las hipótesis planteadas a través del análisis estadístico de datos numéricos, permitiendo así la generalización de los resultados a la población de interés (Hernández et al., 2018).
El diseño de la investigación es no experimental, dado que no se manipulan deliberadamente las variables. En su lugar, se observó y midió los fenómenos tal y como se presentan en su contexto natural para después analizarlos. Específicamente, se empleó un diseño de corte transversal, ya que la recolección de datos se realizó en un único momento en el tiempo. Este diseño es eficiente para describir las variables y analizar su incidencia e interrelación en un momento dado, lo cual es adecuado para los objetivos del estudio.
La población o universo de estudio está constituida por el total de pequeñas y medianas empresas (PYMES) de los sectores comercial y manufacturero que se encuentran activas en la provincia de Tungurahua, según el registro actualizado de la Superintendencia de Compañías, Valores y Seguros del Ecuador. Para la selección de la muestra, se utilizó un muestreo aleatorio con la participación de 310 empresas que se obtiene considerando un nivel de confianza del 95% y un margen de error del 5%.
La técnica para la recolección de datos de campo fue la encuesta. El instrumento diseñado para este fin fue un cuestionario estructurado compuesto por preguntas con anclajes de tipo Likert de 5 puntos (desde 1 = Totalmente en desacuerdo hasta 5 = Totalmente de acuerdo) para medir las percepciones y prácticas de los gerentes o responsables de las PYMES respecto a las variables de estudio. El cuestionario se dividió en tres secciones, correspondiendo a cada una de las variables, a saber: (1) Networking (intensidad, diversidad y gestión estratégica de la red de contactos). (2) Contenido digital (calidad, frecuencia, consistencia y estrategia detrás del contenido digital producido por la empresa). (3) Gestión empresarial (financiera, clientes, procesos internos y aprendizaje y crecimiento).
Antes de su aplicación final, el instrumento se sometió a un proceso de validación mediante juicio de expertos para asegurar su pertinencia y claridad. Posteriormente, se realizó una prueba piloto con una pequeña submuestra para calcular su fiabilidad a través del coeficiente Alfa de Cronbach (George y Mallery, 2019).
Una vez recolectados los datos, fueron tabulados y analizados utilizando software estadístico como SPSS y AMOS. El plan de análisis se trabajó en tres fases: análisis descriptivo, validación del modelo de medida y estudio de validez de constructo de las escalas. Para cada variable latente (Networking, Contenido Digital y Gestión Empresarial), se ejecutó un AFC para confirmar que los ítems propuestos miden adecuadamente el constructo teórico. Se analizó el ajuste del modelo a través de Chi-cuadrado (χ²), Índice de Ajuste Comparativo, Índice de Tucker-Lewis y el Error Cuadrático Medio de Aproximación (RMSEA < 0.08) (Xu et al., 2017).
5. Influencia del networking y el contenido digital: Validación del modelo
Se presentan los resultados del análisis como herramienta clave para validar la estructura del modelo propuesto. Este análisis verifica estadísticamente cómo el networking y el contenido digital se interrelacionan para determinar la eficiencia en la gestión empresarial de las PyMEs objeto de estudio.
5.1. Análisis factorial confirmatorio
Para el análisis de normalidad se utilizó el coeficiente de Mardia. De acuerdo con Sohier y Brée (2017), un coeficiente de Mardia mayor a 50 indica que los datos siguen una distribución normal a nivel multivariante. Por lo tanto, como se puede apreciar en la tabla 1, se obtuvo un coeficiente de Mardia de 21.438, por lo que se concluye que los datos no siguen una distribución normal. Pero se utilizará un método más robusto para calcular los parámetros del modelo implementado en AMOS versión 24.
Tabla 1
Coeficiente de Mardia para análisis multivariante
|
Variable |
min |
max |
skew |
c.r. |
kurtosis |
c.r. |
|
NW1 |
1.000 |
5.000 |
0.698 |
5.014 |
-1.166 |
-4.190 |
|
NW2 |
1.000 |
5.000 |
0.591 |
4.248 |
-1.099 |
-3.950 |
|
NW3 |
1.000 |
5.000 |
0.498 |
3.582 |
-1.114 |
-4.004 |
|
NW4 |
1.000 |
5.000 |
-0.080 |
-0.576 |
-1.270 |
-4.565 |
|
GE4 |
1.000 |
5.000 |
-0.011 |
-0.081 |
-1.221 |
-4.389 |
|
GE3 |
1.000 |
5.000 |
0.016 |
0.113 |
-1.295 |
-4.655 |
|
GE2 |
1.000 |
5.000 |
0.715 |
5.139 |
-1.109 |
-3.985 |
|
GE1 |
1.000 |
5.000 |
0.736 |
5.292 |
-1.078 |
-3.875 |
|
CD1 |
1.000 |
5.000 |
0.458 |
3.294 |
-1.429 |
-5.137 |
|
CD2 |
1.000 |
5.000 |
0.212 |
1.525 |
-1.375 |
-4.940 |
|
CD3 |
1.000 |
5.000 |
0.297 |
2.137 |
-1.386 |
-4.981 |
|
CD4 |
1.000 |
5.000 |
0.150 |
1.078 |
-1.321 |
-4.748 |
|
Multivariate |
44.638 |
21.438 |
5.2. Análisis de linealidad
Para verificar la linealidad, se utilizaron métodos estadísticos de acuerdo con el procedimiento establecido por Hatori y Hiranai (2025). En la tabla 2 se muestran los coeficientes de correlación de Pearson entre las variables exógenas y endógenas agregadas a través de un promedio aritmético. Todas las correlaciones fueron positivas y significativas, demostrando así el cumplimiento del supuesto de linealidad.
Tabla 2
Correlaciones entre variables exógenas y endógenas agregadas
|
Variables Exógenas |
Sig. (bilateral) |
Gestión Empresarial Correlación de Pearson |
|
Networking |
0.001 |
0.959** (p-valor < 0.05) |
|
Contenido Digital |
0.001 |
0.134* (p-valor < 0.05) |
5.3. Análisis de homocedasticidad
De acuerdo con Hair et al. (2018), la comprobación de la homocedasticidad se realizó a través de gráficos de dispersión residual, los cuales deben estar distribuidos de forma normal. En el gráfico 1, se observa que los residuos estandarizados se distribuyen normalmente en la variable dependiente a través de todas las variables independientes.
Gráfico 1
Gráfico P-P normal de regresión
5.4. Análisis de Confiabilidad
Para el análisis de confiabilidad se utilizó el índice de alpha de Cronbach por cada constructo. De acuerdo con George y Mallery (2019), un coeficiente aceptable es α ≥ 0.70, un coeficiente bueno es α ≥ 0.80 y un coeficiente excelente es α ≥ 0.90. Por lo tanto, como se puede apreciar en la tabla, los índices de confiabilidad de todos los constructos propuestos en el modelo muestran excelencia en su confiabilidad (tabla 3)
Tabla 3
Análisis de confiabilidad
|
Constructos |
Índice de Confiabilidad Compuesto |
Número de Ítems |
|
Gestión Empresarial |
0.948 |
4 |
|
Networking |
0.913 |
4 |
|
Contenido Digital |
0.940 |
4 |
5.5. Validez Convergente
La validez convergente sirve para determinar si cada ítem converge de manera efectiva hacia su variable latente. Los parámetros estandarizados deben ser superiores al 0.7 y, como se puede observar en la tabla 4, la mayoría de los valores de los constructos superan los niveles de aceptación; por lo tanto, se acepta la validez convergente (Xu et al., 2017).
Tabla 4
Validez Convergente de los constructos e Ítems
|
Constructos e Ítems |
Parámetro Estandarizado |
|
|
Gestión Empresarial |
||
|
GE1 |
0.957 |
|
|
GE2 |
0.885 |
|
|
GE3 |
0.821 |
|
|
GE4 |
0.772 |
|
|
Networking |
||
|
NW1 |
0.955 |
|
|
NW2 |
0.822 |
|
|
NW3 |
0.799 |
|
|
NW4 |
0.653 |
|
|
Contenido Digital |
||
|
CD1 |
0.867 |
|
|
CD2 |
0.756 |
|
|
CD3 |
0.947 |
|
|
CD4 |
0.840 |
La validez discriminante mide la independencia entre las variables latentes en el modelo propuesto. La prueba ANOVA de doble entrada en su nivel de aceptación determina que, si el p-valor es menor a 0.05, existe independencia de constructos. Como se puede observar en la tabla, la variable gestión empresarial se analiza con las variables de networking y contenido digital, dando un valor de 0.033; por lo tanto, se acepta la validez discriminante (Achío, 2013) (tabla 5).
Pruebas de efectos inter-sujetos
|
Variable dependiente: GESTIÓN EMPRESARIAL |
|||||
|
Origen |
Tipo III de suma de cuadrados |
gl |
Media cuadrática |
F |
Sig. |
|
Modelo corregido |
567.156a |
139 |
4.080 |
32.466 |
0.000 |
|
Intersección |
1101.448 |
1 |
1101.448 |
8764.115 |
0.000 |
|
NETWORKING |
341.286 |
15 |
22.752 |
181.039 |
0.000 |
|
CONTENIDO_DIGITAL |
2.856 |
16 |
0.179 |
1.420 |
0.137 |
|
NETWORKING * CONTENIDO_DIGITAL |
18.602 |
108 |
0.172 |
1.371 |
0.033 |
|
Error |
21.365 |
170 |
0.126 |
||
|
Total |
3093.688 |
310 |
|||
|
Total corregido |
588.521 |
309 |
|||
|
a. R al cuadrado = 0.964 (R al cuadrado ajustada = 0.934) |
|||||
5.6. Análisis del modelo estructural
De acuerdo con los índices de ajuste obtenidos, la mayoría están dentro del rango requerido para la aceptación del modelo, a excepción del índice TLI, el cual está muy cercano a los valores requeridos por el modelo, por lo que se puede concluir que el modelo muestra un ajuste aceptable, ya que no se tiene evidencia sólida para rechazar el modelo (Wamba y Carter, 2014). Los índices y niveles de aceptación se muestran en la siguiente tabla 6.
Tabla 6
Índices y niveles de aceptación del modelo
|
Índice |
Valor |
Nivel de Aceptación |
|
Chi-cuadrado |
4646.269 (p-valor=0.000) |
P-valor > 0.02 |
|
Gl |
66 |
|
|
CFI |
0.922 |
≥ 0.90 |
|
RMSEA |
0.059 |
≤ 0.06 |
|
NFI |
0.912 |
> 0.90 |
|
TLI |
0.899 |
> 0.90 |
|
PRATIO |
0.773 |
> 0.50 |
|
PNFI |
0.705 |
> 0.70 |
|
PCFI |
0.712 |
> 0.50 |
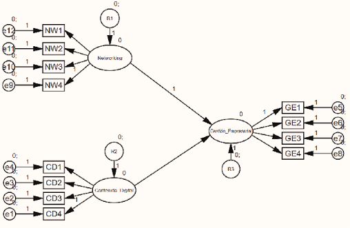
En el gráfico 3 se muestra el modelo de influencia del networking y contenido digital en gestión empresarial.
Gráfico 3
Modelo de influencia del Networking y Contenido Digital en Gestión Empresarial
5.7. Comprobación de Hipótesis
Como hallazgo en este estudio tenemos la comprobación de hipótesis que se planteó al inicio de esta investigación. En efecto, los resultados que se encontraron mediante la modelación de las ecuaciones estructurales implementada en AMOS fueron probados por medio de las pruebas de ajuste correspondientes (Alam et al., 2018). En la Tabla 7 se presenta una síntesis de cada una de las hipótesis planteadas en el estudio. Las cuales fueron comprobadas, aceptadas y rechazadas por medio del valor p.
Tabla 7
Regresión entre Constructos del Modelo Estructural
|
Hipótesis |
Estimado |
S.E. |
p |
Observación |
||
|
Gestión Empresarial |
<--- |
Networking |
0.644 |
0.061 |
*** |
Se acepta |
|
Gestión Empresarial |
<--- |
Contenido Digital |
-0.005 |
0.007 |
*** |
Se rechaza |
Nota: Los estimados y valores p corresponden a la solución sin estandarizar del modelo estructural basado en la estimación del método de para evaluar el ajuste del modelo.
*** equivale a p-valor menor que 0.05
El Networking muestran una relación positiva y significativa con la gestión empresarial (1.008, p-value < 0.05), por lo que la hipótesis de investigación H1 es aceptada. El contenido Digital muestra una relación negativa, aunque significativa con la Gestión Empresarial (-0.07, p-value < 0.05), por lo que la hipótesis de investigación H2 es rechazada.
6. Conclusiones
Existe una relación entre el networking y la gestión empresarial que permite reflejar su interacción en la cultura de negocios. En el contexto estudiado, las relaciones interpersonales prevalecen sobre las relaciones virtuales. Este estudio proporcionó una interesante alternativa para comprender la gestión empresarial, centrándose en los factores del networking y el contenido digital y sus relaciones en las pequeñas y medianas empresas (PYMES) de la provincia de Tungurahua, teniendo en cuenta que se obtenga un equilibrio en el procedimiento de toma de decisiones en el área empresarial.
El modelo propone que el desarrollo del networking podría promover la gestión empresarial como resultado de la relación positiva del networking en la gestión empresarial. Por lo que se sugiere que, cuanto mayor desarrolle el networking en las PYMES, hay más posibilidades de tener una mejor gestión administrativa.
En vista de los resultados, las implicancias prácticas del estudio deben ser abordadas por las entidades de desarrollo local y las cámaras de comercio y producción de Tungurahua para enfocar las capacitaciones hacia el uso de herramientas digitales, de forma que se integre el contenido digital con la estrategia del negocio, con énfasis en medir el ROI y alinear el contenido con los objetivos del Cuadro de Mando Integral.
Referencias
Achío, T. (2013). Los comités de ética y la investigación en ciencias sociales. Revista de Ciencias Sociales, 1(99), 89–95. https://revistacienciassociales.ucr.ac.cr/images/revistas/RCS99/06.pdf
Adler, P. S., & Kwon, S. W. (2002). Social capital: Prospects for a new concept. Academy of Management Review, 27(1), 17–40. https://www.jstor.org/stable/4134367
Aftab, H., Shuja, J., & Alasmary, W. (2021). Hybrid DBSCAN based community detection for edge caching in social media applications. International Wireless Communications and Mobile Computing, 1(1), 2038–2043. https://ieeexplore.ieee.org/document/9498609
Akaeva, V., Narshirvanova, Y., & Savintseva, N. (2023). The impact of digitalization of the economy on the cooperation of economic entities in the post-pandemic. Big Data in Information Society and Digital Economy, 124(1), 1–28. https://doi.org/10.1007/978-3-031-29489-1_28
Alam, M. S., Wang, D., & Rafique, K. (2018). Analyzing the impact of social network sites and social applications on buying attitude in developing nations: Consumers’ engagement using flourishing digital platforms. International Journal of Enterprise Information Systems, 14(4), 108–123. https://doi.org/10.4018/IJEIS.2018100108
Angulo-Ruiz, F., Donthu, N., Prior, D., & Rialp-Criado, J. (2022). Funding marketing resources and capabilities during a recession: An empirical examination of top corporate advertisers. European Journal of Marketing, 56(8), 2138–2171. https://doi.org/10.1108/EJM-06-2020-0423
Barrientos-Felipa, P. (2021). Redes sociales y emprendimiento en tiempos de COVID-19: Experiencia de Ocaña. Revista de Ciencias Sociales, 27(4), 213–228. https://doi.org/10.31876/rcs.v27i.36996
Ferreras-Méndez, J. L., & Fernández-Mesa, A. Y. (2015). Depth and breadth of external knowledge search and performance: The mediating role of absorptive capacity. Industrial Marketing Management, 47(1), 86–97. https://doi.org/10.1016/j.indmarman.2015.02.038
Garbelli, M. E. (2016). Competitive networking for SME: A case study of its success in Italy. European Scientific Journal, 12(7), 1–23. https://eujournal.org/index.php/esj/article/view/7115/6850
George, D., & Mallery, P. (2019a). IBM SPSS Statistics 26 step by step: A simple guide and reference. Routledge.
George, D., & Mallery, P. (2019b). SPSS for Windows step by step: A simple guide and reference. 11.0 Update. Allyn & Bacon.
Gvili, Y., & Levy, S. (2018). Consumer engagement with eWOM on social media: The role of social capital. Online Information Review, 42(4), 482–505. https://doi.org/10.1108/OIR-05-2017-0158
Hair, J. F., Babin, B. J., Anderson, R. E., & Black, W. C. (2018). Multivariate data analysis. Pearson.
Hatori, Y., & Hiranai, K. (2025). Validation of gait parameters during turning obtained from consumer virtual reality devices. Accuracy Journal, 13(1), 790–801. https://doi.org/10.1109/ACCESS.2025.3627557
Hernández Sampieri, R., Fernández, C., & Baptista, P. (2018). Metodología de la investigación. McGraw-Hill.
Hollebeek, L. D., & Macky, K. (2022). Digital content marketing’s role in fostering consumer engagement, trust, and value: Framework, fundamental drivers, and future research. Journal of Interactive Marketing, 45(1), 27–41. https://doi.org/10.1016/j.intmar.2018.07.003
Järvinen, J., & Taiminen, H. (2016). Harnessing marketing automation for B2B content marketing. Industrial Marketing Management, 55(1), 164–175. https://doi.org/10.1016/j.indmarman.2015.07.002
Kaplan, R. S., & Norton, D. P. (1996). The balanced scorecard: Translating strategy into action. Harvard Business Press.
Kumar, J., Rani, V., & Rani, M. (2022). Nexus between intellectual capital and innovation performance: The mediating role of firm’s attractiveness and knowledge sharing. Journal of Information and Knowledge Management Systems, 55(5), 1349–1366. https://doi.org/10.1108/VJIKMS-06-2023-0145
Ozanne, L., Chowdhury, M., & Prayag, G. (2022). SMEs navigating COVID-19: The influence of social capital and dynamic capabilities on organizational resilience. Industrial Marketing Management, 104(1), 116–135. https://doi.org/10.1016/j.indmarman.2022.04.009
Ramos Oyola, N., & Neri Ayala, A. (2022). Las 4 ces del marketing y su relación con el posicionamiento de marca. Telos: Revista de Estudios Interdisciplinarios en Ciencias Sociales, 24(2), 384–396. https://doi.org/10.36390/telos242.11
Salonen, A., Mero, J., Munnukka, J., Zimmer, M., & Karjaluoto, H. (2024). Digital content marketing on social media along the B2B customer journey: The effect of timely content delivery on customer engagement. Industrial Marketing Management, 118(1), 12–26. https://doi.org/10.1016/j.indmarman.2024.02.002
Saltos-Cruz, G., Araque-Jaramillo, W., & Saltos-Cruz, C. (2022). Gestión de marca. Revista Venezolana de Gerencia, 27(7), 186–202. https://doi.org/10.52080/rvgluz.27.7.13
Saltos-Cruz, G., Peñaherrera-Zambrano, S., Herrera-Herrera, J., Naranjo-Holguín, F., & Araque-Jaramillo, W. (2022). Digital media ecosystem: A core component analysis according to expert judgment. Lecture Notes in Networks and Systems, 407(1), 1–13. https://doi.org/10.1007/978-3-030-96147-3_2
Saltos-Cruz, J. G., Naranjo-Holguín, F., & Ortiz-Paredes, W. F. (2025). Marketing digital y posicionamiento de marca de las pymes de calzado del Ecuador. Revista Venezolana de Gerencia, 30(111), 1516–1532. https://doi.org/10.52080/rvgluz.30.111.17
Semrau, T. A. (2020). Entrepreneurial orientation and SME performance across societal cultures: An international study. Journal of Business Research, 69(5), 1928–1932. https://doi.org/10.1016/j.jbusres.2015.10.082
Sohier, R., & Brée, J. (2017). Proposal of a digital identity scale. En P. Rossi (Ed.), Marketing at the Confluence between Entertainment and Analytics (pp. 45–68). Springer.
Taiminen, H. M., & Karjaluoto, H. (2015). The usage of digital marketing channels in SMEs. Journal of Small Business and Enterprise Development, 22(4), 633–651. https://doi.org/10.1108/JSBED-05-2013-0073
Teece, D. J., Pisano, G., & Shuen, A. (1997). Dynamic capabilities and strategic management. Strategic Management Journal, 18(7), 509–533. https://doi.org/10.1002/(SICI)1097-0266(199708)18:7<509::AID-SMJ882>3.0.CO;2-Z
Trainor, K. J., Andzulis, J. M., Rapp, A., & Agnihotri, R. (2014). Social media technology usage and customer relationship performance: A capabilities-based examination of social CRM. Journal of Business Research, 67(6), 1201–1208. https://doi.org/10.1016/j.jbusres.2013.05.002
Trequattrini, R., Lombardi, R., Lardo, A., & Cuozzo, B. (2018). The impact of entrepreneurial universities on regional growth: A local intellectual capital perspective. Journal of the Knowledge Economy, 9(1), 199–211. https://doi.org/10.1007/s13132-015-0334-8
Ukpabi, D., Olaleye, S., Mogaji, E., & Karjaluoto, H. (2018). Insights into online reviews of hotel service attributes: A cross-national study of selected countries in Africa. En Information and Communication Technologies in Tourism 2018 (pp. 243–256). Springer. https://doi.org/10.1007/978-3-319-72923-7_19
Vallejo-Bojorque, A., Cavazos-Arroyo, J., Lagunez-Pérez, M., & Vásquez-Herrera, S. (2021). Experiencia del cliente, confianza y lealtad de los millennials en el sector bancario de la ciudad de Cuenca-Ecuador. Retos: Revista de Ciencias de la Administración y Economía, 11(22), 287–300. https://doi.org/10.17163/ret.n22.2021.06
Vhatkar, M., Raut, R., Gokhale, R., Kumar, M., Akarte, M., & Ghoshal, S. (2024). Leveraging digital technology in retailing business: Unboxing synergy between omnichannel retail adoption and sustainable retail performance. Journal of Retailing and Consumer Services, 81(1), 81–98. https://doi.org/10.1016/j.jretconser.2024.104047
Wamba, S. F., & Carter, L. (2014). Social media tools adoption and use by SMEs: An empirical study. Journal of End User and Organizational Computing, 26(2), 1–17. https://doi.org/10.4018/joeuc.2014040101
Xu, J., Li, X., & Niu, H. (2017). The effects of post-adoption beliefs on continuance use of a microblogging service: The role of network externalities. Journal of Network and Virtual Organisations, 17(1), 88–102. https://api.semanticscholar.org/CorpusID:40479499