Universidad del Zulia (LUZ)

Revista Venezolana de Gerencia (RVG)

Año 28 No. Especial 10, 2023, 1329-1350

julio-diciembre

ISSN 1315-9984 / e-ISSN 2477-9423

Como citar: Urdaneta Montiel, A. J., López Vera, J. G., y Borgucci García, E. V. (2023). Percepción de calidad de servicios públicos en la ciudad de Machala, Ecuador. Revista Venezolana De Gerencia28(Edición Especial 10), 1329-1350. https://doi.org/10.52080/rvgluz.28.e10.28

Percepción de calidad de servicios públicos en la ciudad de Machala, Ecuador

Urdaneta Montiel, Armando José*

López Vera, Juan Gabriel**

Borgucci García, Emmanuel Victorio***

Resumen

En este artículo se analiza la percepción de calidad de servicios públicos a nivel del GAD de la ciudad de Machala. Los servicios vistos como bienes públicos son de dos tipos: consumo e inversión, los primeros se refieren a fuentes asistencialistas y los segundos al gasto relacionado con activos que permiten la mejora de la competitividad sistémica. En esta investigación correlacional y explicativa se preparó una encuesta aplicada a 421 habitantes de las 8 parroquias de la ciudad de Machala para perfilar la oferta de servicios públicos en esa localidad y evaluar la percepción de calidad. Los resultados demuestran que el 49% de machaleños consideran que reciben servicios de baja calidad en las cinco dimensiones evaluadas. Se concluye que el mayor gasto en bienes de inversión estatales impulsados desde mediados de la década pasada no han sido percibidos como suficientes para mejorar la función de utilidad social de la población de Machala.

Palabras clave: bienes públicos; gobierno subnacional; calidad de los servicios públicos; servicio público; monopolio social.

Recibido: 26.05.23 Aceptado: 14.09.23

* Postdoctorado en Integración y Desarrollo de América Latina. Doctor en Ciencias Económicas. Profesor Titular Agregado I, Universidad Metropolitana del Ecuador. Machala, Ecuador. https://orcid.org/0000-0002-9825-9453

** Máster Universitario en Análisis del Entorno Económico, Economista. Profesor Titular Auxiliar, Universidad Metropolitana del Ecuador. Machala, Ecuador. https://orcid.org/0000-0002-8720-0499

*** Postdoctorado en Ciencias Económicas. Postdoctorado en Gerencia y Políticas Públicas. Doctor en Ciencias Sociales. Profesor de la Universidad del Zulia. Maracaibo, Venezuela.

Perception about quality of public services in Machala, Ecuador

Abstract

This article analyzes public utility services at the level of the GAD of the city of Machala. The public utility services as public goods can be of two types: consumption and investment, the former refer to welfare sources and the latter to spending related to assets that allow the improvement of systemic competitiveness. This correlational and explanatory research used a survey was prepared which was applied to 421 inhabitants of the 8 parishes that make up the city of Machala to measure the supply of public services in that locality and evaluate the perception of quality. The results show that 49% of citizens consider that they receive low-quality services in the five dimensions that were evaluated. We conclude that the public investment on public goods under the form of public services increased spending on investment goods since the middle of the last decade and have not been perceived as sufficient to improve the social utility function.

Keywords: public goods; local government; quality of public services; public services; social monopoly.

1. Introducción

Uno de los debates más interesantes dentro de la llamada economía comparativa (Global Development Policy Center [GDPC], 2021: 3), es el referido a la eficiencia de los sistemas económicos, concretamente en los public utilities (empresas que ofertan servicios como gas, electricidad, agua potable, entre otros servicios algunos considerados como servicios públicos domiciliarios) (Stigler, 1950; Houthakker, 1950).

Una empresa de servicios públicos esenciales, según Crandall & Ellig, (1997), realiza procesos de producción de bienes y/o servicios de manera integrada o no. Tanto si el utility es público o privado, funcionan preferentemente bajo la figura de monopolio social y/o natural (Parkin & Loria, 2010). Ahora bien, la sociedad espera que los servicios públicos, cuyos costos son crecientes, puedan ofrecer una calidad que justifique lo que por ellos se paga.

Lo antes expuesto representa un desafío para la sustentabilidad del servicio, ya que el prestador debe balancear la generación de un rédito y, al mismo tiempo, garantizar su legitimidad social; es decir, prestar un servicio público u ofertar bienes públicos per se no es suficiente. Por otra parte, el prestador de los servicios públicos debe considerar que mucha de su oferta es de bienes no divisibles, no rivalizables o donde no se pueden excluir a los usuarios. Aquí se presenta otro desafío, el de enfrentar al free rider. Este agente produce un doble efecto: 1) costos crecientes; y 2) se convierten en un problema político. En el segundo de los casos, en sociedades con mala distribución del ingreso se convierten en una masa significativa de votantes, que los convierte en un factor de mantenimiento del status quo de funcionamiento y financiamiento del utility.

A tenor de lo anterior, independientemente de la presencia o no del free rider, el objetivo que se plantea el estudio es analizar la percepción de calidad de servicios públicos a nivel del GAD de la ciudad de Machala. Para lograr este objetivo, se evaluará, mediante la aplicación de un cuestionario y el uso de métodos multivariantes, la situación de los bienes públicos y su calidad en la ciudad de Machala, Ecuador.

2. Bienes públicos

Los mercados permiten la asignación de recursos. Sin embargo, suele haber momentos en los que las soluciones de mercado no son satisfactorias. De acuerdo a Stiglitz & Rosengard, (2015), los fallos de mercado ocurren porque las personas suelen pensar que hay mejores formas de coordinar la actividad económica y que en la economía de mercado se produce dotación de bienes no deseados (ej. contaminación) contra bienes deseados (ej. subvenciones a la investigación contra enfermedades catastróficas).

Lo anterior justifica la intervención del Estado, delimitando los derechos de propiedad. No obstante, pese a que se establecen mecanismos eficientes de control, el mercado puede restringir la producción de bienes en donde la ampliación a más consumidores signifique un crecimiento en su costo marginal y, por tanto, se reduzca el beneficio esperado; en caso de que esto ocurra, entonces el Estado comenzará con la dotación de bienes sobre la brecha que el mercado no esté en capacidad de ofertar.

En este orden de ideas, Samuelson, (1954) explicó que los consumidores forman su cesta de consumo a través de dos categorías de bienes: bienes de consumo privado, ordinario y bienes de consumo colectivo (o públicos). Los primeros son productos provistos por el mercado, y, por tanto, imponen condiciones de exclusión en los individuos. Los colectivos son de empleo no excluyente. Así, en la función de utilidad del individuo, dada las preferencias ordinales, realiza la combinación que más le favorece. Sin embargo, esta manera de formar preferencias ante recursos escasos se produce mejorando el bienestar de una persona a costa de otra. Si bien esto supone un dilema ético sobre cómo configurar niveles de utilidad para estabilizar la función de bienestar social, Samuelson (1954) supone que esta función es posible de maximizar cuando se reconfiguran las preferencias ordinales de una persona, mientras todos los demás se mantienen en su mismo nivel de indiferencia. En la ilustración 1 se muestra la descripción del mapa entre bienes privados y bienes públicos.

Ilustración 1

Preferencias entre consumo de bienes públicos y privados

Fuente: Stiglitz & Rosengard, (2015: 167).

Como se puede ver en la ilustración 1 anterior, se representa en la curva de indiferencia las diferentes combinaciones entre bienes públicos y privados que un individuo puede adquirir a partir de su renta y su precio en impuestos, estos dos componentes son los que forman la restricción presupuestaria de los consumidores. 

Las curvas de restricción B y B’ son intuitivas para representar que mientras el gasto público es más bajo, los individuos tienen mayor preferencia por bienes privados. B’ también muestra que cuando es mayor el gasto público en este tipo de bienes, mayor es la preferencia del público por la demanda de bienes públicos ofertados por el gobierno. No obstante, el punto de tangencia (tasa marginal de sustitución) se va ubicando cada vez más en el segmento cuasi lineal de la curva de indiferencia; es decir, la tasa de crecimiento del gasto público no propiciaría la creación de una cantidad de bienes públicos más que proporcional. ´

Los puntos que representan finalmente cuáles son las dotaciones elegidas por los consumidores antes y después de un mayor gasto público son E y E’, respectivamente. Un aspecto interesante es que una mayor inversión gubernamental en bienes públicos, cuando se presenta una combinación de E’ con respecto a E, es que se produce un efecto crowding out (efecto expulsión) de bienes privados por públicos. Ahora bien, para que el efecto expulsión se presente, se requiere una mayor inversión que debió ser financiada, ya que todo bien público es un bien económico. Por tanto, es fundamental preguntarse: ¿cómo se determina la política fiscal para la creación de bienes públicos?

De acuerdo a Chatterjee & Ghosh, (2011), la provisión de bienes públicos representa una afectación directa sobre la forma cómo se asignan recursos privados y el bienestar social. Habitualmente se suele diseccionar los bienes públicos en dos grandes grupos: (a) aquellos que influyen sobre la productividad, de manera tal que se convierten en complemento del capital y trabajo privado para mejorar los procesos productivos; y, (b) aquellos que están enfocados exclusivamente en la mejora del bienestar y que interactúan con el consumo privado. 

El considerar los bienes públicos de esa forma puede llevar a diseños imprecisos en la política fiscal y que las evaluaciones de sus resultados no estén considerando los beneficios duales de (a) y (b). Por ejemplo, un programa de educación a una comunidad no solo mejora su cualificación profesional (b), sino que permite que las organizaciones puedan encontrar mejores colaboradores que puedan desempeñarse eficazmente en la búsqueda de maximización del beneficio en la empresa (a). Es por eso que los bienes públicos, en su mayoría, deben ser vistos como un paquete de servicios que impulsan de forma conjunta a la productividad y al bienestar.

De acuerdo a Chatterjee & Ghosh, (2011), la política fiscal cumple una función de estabilización si su planteo se orienta “a la ocupación plena, la apropiada distribución de la renta y una eficiente asignación de la productividad total de los factores”. No obstante, su uso está sujeto a limitaciones de carácter legal, práctico y técnico que terminan afectando la calidad y resultados de la política que se pretende aplicar. De ahí que la clave para poder definir una política fiscal coherente con la perturbación reconocida está entre elegir una orientación expansiva o restrictiva y observar su coordinación cíclica y procíclica (diagrama 1).

Diagrama 1

Orientación y estímulos de la política fiscal

Fuente: elaboración propia.

3. Calidad en los bienes (y servicios) públicos

La mayoría de modelos económicos relacionados con la elección de los agentes supone la información perfecta como una característica natural de los mercados para la toma de decisiones (Spence, 1973; Akerlof, 1970). En ese sentido, solamente indicadores como: precio, certificaciones, publicidad, experiencia de uso y retroalimentación de grupos de interés, que son mesurables o percibidos como objetivos por los individuos, pueden transmitir información sobre la utilidad social del bien o servicio en análisis.

Si bien el precio, por sí solo, no es un indicador de que un producto sea de calidad, existen formas de cómo compradores y vendedores buscan evaluar la calidad de un bien mediante la información detallada del producto en su empaque, demostraciones y oferta de garantía de satisfacción (Singh, 2016). Incluso en casos donde se detectan potenciales externalidades por la producción o consumo de un bien, el Estado suele tener un papel de regulación y estandarización de las prácticas de calidad empresarial para que los productos privados que salen al mercado sean reconocidos por su valor añadido.

De esta manera, los bienes y servicios privados orientan sus prácticas de calidad, debido a las exigencias de las audiencias que compran o estarían interesados en adquirirlos y, por otro lado, existe la posibilidad de una regulación gubernamental que puede obligar la aplicación de buenas prácticas. Dada la alta competencia en la provisión privada de bienes, las empresas que los ofertan se empeñan en innovar y mejorar sus medios de producción para no perder mercado por falta de calidad.

Sin embargo, dado que los bienes y servicios públicos son provistos por el Estado y en la mayoría de los casos no hay opciones de competencia que los obligue a mejorar, queda en el aire la pregunta: ¿cuáles son los parámetros para evaluar la calidad en los bienes y servicios públicos?

El primer trabajo que intentó responder esta pregunta fue el de Walsh, (1991), donde indicó tres fuentes que imposibilitan el establecimiento de estándares para la calidad de bienes y servicios públicos: 1) estos suelen enfrentarse a demandas altamente estacionales, debido a los cambios demográficos y las variaciones del ciclo económico; 2) las perspectivas morales sobre la cual se evalúan los resultados de la provisión pública entre la percepción del gobierno y la sociedad, lo cual genera soluciones tan ambiguas como polémicas; y 3) los recursos públicos para la creación y mantenimiento de los bienes y servicios públicos están sujetos a un marco reglamentario inadecuado.

En términos de curva de oferta y demanda de servicios públicos, en la Ilustración 2 muestra un equilibrio de mercado entre la oferta de servicios públicos (por ejemplo, luz eléctrica) y la demanda del mismo servicio. En el punto E, se muestra el equilibrio entre una curva de oferta de servicio público y su correspondiente demanda . Ahora bien, si la demanda del servicio público aumenta y no hay respuesta por parte de la oferta, entre otras razones, por la falta de inversiones en el sector eléctrico, se produce una nueva situación de equilibrio, en donde el precio/tarifa se debería incrementar para poder ofrecer más electricidad.

Ilustración 2

Oferta y demanda de un servicio público

Fuente: elaboración propia.

Pero el asunto es que, en el corto plazo, la empresa oferente del servicio público no está en capacidad de ampliar la oferta, ya que su curva de oferta es relativamente inelástica.

Es decir, en el corto plazo, debiera haber una expansión de la producción de electricidad, pero como eso no es dable, entonces es posible que el nuevo equilibrio se establezca en G y no en F. En la realidad eso se vive mediante la presencia de estrategias de distribución de la carga cumpliendo algunos horarios de falta del servicio (“racionamiento”). Ese racionamiento, que es entrega de menos servicio, se pudiera interpretar como un efecto de aumento en los precios/tarifas del servicio y, por el hecho de que hay racionamiento, el nivel de satisfacción del usuario baja. Ahora, la situación antes descrita, debería llevar a un aumento de la oferta del servicio público o pasar de a . En otras palabras, que el oferente del servicio (Estado o empresa privada o ambos) invierta en mayor generación.

Sin embargo, si la empresa es pública y a nivel presupuestario no se ha puesto el interés en realizar inversión neta en nueva generación, sino que la política fiscal se dirige a concentrar los esfuerzos en aumentar el gasto corriente, la cobertura de la demanda del servicio se verá comprometida, aunque se pudiera pensar que parte de ese gasto corriente dedicado, por ejemplo, al sector eléctrico, fuera para subsidiar la factura eléctrica.

Ahora bien, de acuerdo al modelo de expansión de la generación eléctrica, esta podría ser tan amplia como para mantener los precios/tarifas anteriores o ubicarse en un punto entre G y F; siendo lo más seguro lo segundo, toda expansión en la generación significará, si no hay subsidios públicos, un aumento en los precios o tarifas. En consecuencia, la insatisfacción por parte del usuario vendría principalmente en una prestación deficiente del servicio y eso tiene que ver con la capacidad de generación y distribución o una expansión con un incremento de precios muy superior o lo anterior junto con una mala prestación del servicio (apagones inesperados).

Una forma que se ha intentado para analizar la calidad de los servicios públicos ha sido la metodología SERVQUAL, de amplio uso en el análisis de calidad de servicios privados; no obstante, este modelo no se ha ajustado a las necesidades de estudio en el sector público (Prakash, 2018). Enfocarse en el encuentro es importante, porque las prestaciones del sector público implican un mayor grado de toma de contacto con el servidor (Suzuki & Demircioglu, 2020), dado el hecho que se están gestionando recursos públicos y estos deben de seguir una trazabilidad reglamentaria superior a lo que solicitaría un servidor privado en las mismas instancias.

Adicionalmente, los ciudadanos no pueden aplicar el paradigma de la desconfirmación (Palacios-Gómez, 2014), sobre su consumo de servicios públicos, debido a que cognitivamente no pueden formar expectativas o experiencias previas de calidad sobre un sector, como los servicios públicos, donde existe poca orientación hacia la innovación disruptiva (Williamson et al, 2020).

Sin embargo, pese a las limitaciones conceptuales para valorar la calidad de los bienes y servicios públicos, (Hsiao & Lin, 2008), consideraron que, mediante el estudio de la percepción de los ciudadanos sobre la situación de los bienes y servicios provistos por el gobierno, se puede construir un indicador de calificación sobre su eficiencia. Chica-Olmo, Gachs-Sánchez, & Lizarraga, (2018), consideraron también que la percepción es un buen indicador para evaluar la satisfacción sobre la calidad de los servicios públicos, esto debido a que involucra un ejercicio de conceptualización y luego de comparación en los ciudadanos sobre las características que mejor se valoran y aquellas que se señalan como oportunidades de mejora y que pueden contribuir a un buen desempeño de las instituciones públicas.

La percepción, de acuerdo a Mardiyanto, (2018), se refiere a un proceso mediante el cual un individuo organiza un estímulo recibido y lo interpreta, de manera que utiliza el conocimiento que tiene sobre el estímulo y las experiencias previas para explicar sus impresiones sensoriales y dar un sentido de significancia a su entorno. Un trabajo desarrollado por Social Policy and Development Centre (2016), aplicado a 4000 hogares de Pakistán, elaboró un modelo para identificar cómo los ciudadanos urbanos perciben y califican a sus servicios públicos domiciliarios. Los mejores aspectos que se valoraron fueron el transporte público y el orden público.

Sin embargo, consideran que en las instituciones públicas debe existir un nivel de planificación y operación que no responda a los ciclos políticos de elecciones, para que, de esta manera, se utilicen criterios apolíticos para la provisión y mejora de servicios públicos.

Esta separación entre jerarquías políticas y no políticas dentro de las instituciones que prestan servicios públicos, se cataloga como imparcialidad en la administración pública (IAP). IAP se refiere a una característica de la administración gubernamental en la que la toma de decisiones y la gestión organizacional se lleva bajo reglas impersonales que garantizan el justo acceso y atención a todos los ciudadanos, sin tener que mediar influencias políticas o el cumplimiento de requerimientos para el acceso público, adicionales a los que estipula el marco legal vigente (Fernández-Carro & Lapuente, 2016; Aucoin, 2012). IAP de acuerdo a Suzuki & Demircioglu, (2020), permite incrementar la calidad de los servicios públicos, debido a que se evita elementos de discriminación y permite la atención a los ciudadanos a partir de sus necesidades y de las posibilidades territoriales. No obstante, la aplicación de IAP ha demostrado empíricamente que provoca un beneficio desigual para los ciudadanos (Clifton, Fernández-Gutiérrez, & García-Olalla, 2017), pues, desde el punto de vista de la moralidad política, los grupos más vulnerables no se atienden en el sentido de equiparar oportunidades (Herd & Moyniham, 2019) para poder competir con los grupos menos vulnerables.

4. Método de la investigación

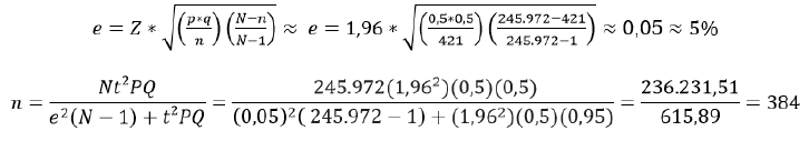
La presente investigación se considera de carácter explicativo y descriptivo, explicativa porque expone a través de un conjunto de 18 indicadores (variables observables) y 5 dimensiones (variables latentes) como se muestra en la tabla 1, la percepción que tienen los ciudadanos del cantón Machala, provincia de El Oro del Ecuador sobre la calidad de los bienes y servicios públicos. Ello mediante la aplicación de un instrumento de investigación tipo encuestas compuesto por 72 ítems a 421 habitantes en las 8 parroquias del cantón Machala, empleando un muestreo aleatorio simple, cuyo cálculo del tamaño de muestra para proporciones usando el criterio de la máxima varianza, con un 5% de error y 95% de confianza, es:

En la tabla 1 se presenta el baremo de evaluación de variables observables, aplicando un intervalo de clase que se muestra a continuación.

Tabla 1

Baremo de evaluación de variables observables

Rango

Calificación cualitativa

Calificación cuantitativa

2105 - 1768

Alta calidad

5

1767 - 1430

Buena calidad

4

1429 - 1092

Aceptable

3

1091 - 754

Baja calidad

2

753 - 421

Muy baja calidad

1

Fuente: elaboración propia.

El instrumento fue validado a través del juicio de expertos y análisis discriminante; se emplearon preguntas con respuestas dicotómicas y de alternativas de respuesta múltiples, que permitieron medir las 18 variables observables (indicadores) en una escala del 1 al 5. En la tabla 2 se presentan las dimensiones, siglas y pseudónimo de cada factor (dimensiones) relacionado con las variables observables.

Tabla 2

Variables latentes y observables del estudio

Dimensiones

(Variables latentes)

Indicadores

(Variables observables)

Siglas

Factor

Servicios públicos a la vivienda

  1. Manejo de aguas residuales.

MAR

F1

  1. Calidad de servicio del aseo urbano.

CAU

F1

  1. Calidad de servicio de agua potable.

CSAP

F1

  1. Calidad de servicio del gas doméstico

CSGD

F1

Seguridad ciudadana

  1. Calidad de las áreas verdes y espacios públicos.

CAVEP

F2

  1. Eficiencia de los cuerpos de seguridad

ECS

F2

  1. Índices de criminalidad y violencia.

ICV

F2

  1. Eficiencia del cuerpo de bomberos.

ECB

F2

Transporte y vías terrestres

  1. Calidad del sistema de transporte público.

CSTP

F3

  1. Sistemas de control de tráfico.

SCT

F3

  1. Seguridad vial.

SV

F3

  1. Calidad de las vías de comunicación terrestre.

CVCT

F3

Instituciones públicas

  1. Calidad de servicio de los centros de salud públicos.

CSCS

F4

  1. Calidad de la atención de las instituciones públicas.

CAIP

F4

  1. Efectividad de las instituciones públicas en la solución de problemas colectivos.

EIP

F4

  1. Calidad de la infraestructura de las instituciones públicas

CIIP

F4

Condiciones patrimonio cultural y natural

  1. Condiciones del patrimonio cultural.

CPC

F5

  1. Condiciones del patrimonio natural.

CPN

F5

Fuente: elaboración propia.

Luego de la evaluación cuali-cuantitativa de las variables observables y latentes, se utilizarán gráficos tipo tela de araña y modelo de ecuaciones estructurales para hacer un constructo teórico sobre los elementos esenciales que explican la calidad de los bienes y servicios públicos. El escenario antes descrito, indistintamente que la percepción ciudadana sea negativa o positiva, dependerá de la calidad y el volumen del gasto público destinado a la inversión. Desde el enfoque propuesto por los investigadores, el estudio procede a realizar un análisis descriptivo sobre la composición del gasto público a nivel nacional, en la provincia de El Oro y el cantón Machala, con fin de conocer tendencias, variaciones irregulares y ciclos en las series de tiempo analizadas.

5. Percepción de calidad de servicios públicos a nivel del GAD de la ciudad de Machala: Discusión de resultados

Partiendo de los resultados presupuestarios antes descritos desde el gobierno central y general (referido al gasto efectuado en Bienes de consumo y capital de los Gobiernos Autónomos Descentralizados reconocidos en el Código Orgánico de Organización Territorial, Autonomía y Descentralización del Ecuador (COOTAD): Prefecturas, Gobiernos Autónomos Descentralizados o Municipios y Juntas Parroquiales) en los últimos 21 años en Ecuador, se hace una revisión del caso particular de la Prefectura de la Provincia de El Oro, sede de la unidad territorial de análisis de este artículo: Gobierno Autónomo Descentralizado de la ciudad de Machala. En el gráfico 1 se muestra el comportamiento del gasto fiscal del Gobierno Central en Ecuador.

Gráfico 1

Composición del gasto fiscal en Ecuador 2000 a 2021

Fuente: Banco Central del Ecuador (2021)

Como se puede apreciar desde el año 2014 hasta el 2016, tanto el gasto de capital como el corriente presentaron caídas conjuntas, teniendo el primero una velocidad de caída mucho mayor con respecto al segundo. Luego, desde el 2016 solamente cae el gasto de capital hasta el año 2020, en el que se observa un punto rebote para el año 2021. El gasto de consumo tuvo un comportamiento creciente hasta el año 2019, luego desciende entre 2021 y 2021 por la caída de la recaudación debido a la contracción de la actividad económica, ocasionada por la pandemia del COVID-19.

Esta conducta, en los últimos años, evidencia que el gobierno central eligió una combinación de bienes que no fueron atenidos en su mantenimiento, depreciándose aceleradamente e impactando en la calidad de los servicios que se esperan percibir por la explotación de la infraestructura pública. La menor calidad con impactos directos en la productividad y competitividad empresarial, porque perciben una mayor carga impositiva con menores prestaciones permitiendo mayor cobertura de negocios e inversión.

En los gráficos 2, 3, y 4, se muestra el comportamiento del gasto de capital (no corriente) y el gasto corriente para el conjunto de Gobiernos Autónomos Descentralizados de Ecuador (GAD’s), el Gobierno Provincial de El Oro y el Municipio de Machala; estos dos últimos son las unidades de análisis del presente trabajo. El objetivo de estas figuras es esquematizar si la provisión de bienes públicos se ha concentrado en consumo, como ocurre en el gobierno central, o si han tenido un comportamiento diferente.

Gráfico 2

Composición del gasto fiscal en GAD’s 2000 a 2021

Fuente: Banco Central del Ecuador (2021)

Gráfico 3

Composición del gasto fiscal en gobierno provincial de El Oro 2000-2021

Fuente: Gobierno Provincial de El Oro (2021)

Gráfico 4

Composición del gasto fiscal en Municipio de Machala 2000 a 2021

Fuente: Municipio de Machala (2021)

Se puede apreciar que los GAD’s, de manera general, presentan un comportamiento diferente al gobierno central, al menos a partir de 2017, en el que el gasto no corriente excede al corriente, demostrando una orientación más hacia la provisión de bienes que acompañan la mejora productiva territorial antes que los bienes de consumo. Sin embargo, esta orientación no se muestra con los mismos enfoques y períodos para el Gobierno provincial de El Oro y la Municipalidad de Machala. 

En el primer caso, se aprecia que el gasto no corriente siempre se encuentra por encima del corriente y, en el segundo caso, el cambio de tendencias ocurre en el año 2014; es decir, tres años antes de la conducta del clúster nacional. ¿Cómo se pueden entender estos resultados divergentes entre el Gobierno Provincial y la Municipalidad? En primer lugar, por la cobertura diferenciada de servicios a la ciudadanía por la naturaleza de las competencias. 

En segundo lugar, la estructura orgánica entre Gobierno provincial y municipal, dadas las mayores funciones burocráticas que recaen sobre municipios, deben de tener una fuerte carga de gastos corrientes significativa respecto a la Provincia. En tercer lugar, la caracterización territorial de las municipalidades con respecto a los gobiernos provinciales, esta mayor cercanía con la colectividad, les incentiva a concentrar una porción importante de sus recursos para acciones y planes que apuntalen al sostenimiento de un ciclo político.

La política fiscal en América Latina debe responder, de acuerdo a (Martner, 2006), a: 1) las carencias de la protección social; 2) construir un sistema presupuestario que reasigne gasto público hacia el gasto social, elevando su calidad; y 3) crear mecanismos de mejora para el desempeño de los nuevos programas de inclusión social.

En pocas palabras, una política fiscal que priorice un sistema de protección social más inclusivo y de corte universal (Carranza & Cisneros, 2014), en lugar del crecimiento económico y el empleo que han dificultado la reposición de los bienes públicos y, por tanto, se ha desarrollado un deterioro en los procesos de prestación.

Lo anteriormente expuesto se magnifica cuando se presentan problemas en los ingresos fiscales provenientes principalmente del gobierno central.

Una vez revisada esta situación general, se pasa a analizar la situación de la percepción de calidad de servicios públicos en la ciudad de Machala. En el gráfico 5, puede observarse que las 18 variables observables (indicadores) producto de la agregación de todos los puntajes que obtuvo cada ítem por parte de los 421 sujetos encuestados, con base al baremo previamente expuesto en la etapa anterior, solo el indicador calidad del servicio de gas doméstico toca el anillo 3 de calificación regular, el resto de las variables observables son cualificadas como servicios públicos de baja calidad, ubicadas entre el anillo 2 y 3, mientras que otras entre el anillo 1 y 2; aunque se posicionan en el rango de baja calidad. En otras palabras, la percepción que tienen los ciudadanos es negativa sobre la calidad de los bienes y servicios públicos que le son provistos por el estado ecuatoriano.

Gráfico 5

Variables observables del estudio

Fuente: elaboración propia con base en la encuesta.

Haciendo el mismo ejercicio, pero de los indicadores respecto a sus dimensiones, la realidad no es diferente a lo señalado en la parte anterior. Las dimensiones oscilan entre los pentágonos 1 y 2, con lo cual se evidencia que la percepción ciudadana sobre la calidad de: instituciones públicas, servicios públicos a la vivienda, seguridad ciudad, condiciones del patrimonio cultural y natural y, finalmente, el sistema, transporte público y vías terrestres intraurbanas, es baja, debido a la falta de inversión pública. En la figura 9 se puede apreciar lo indicado.

El análisis de los datos en el gráfico 6 y la ilustración 2, debe entenderse que en la medida que estas variables se expandan mayor es la calidad de los bienes y servicios públicos que se prestan.

Gráfico 6

Variables latentes del estudio

Fuente: elaboración propia con base en la encuesta.

Ilustración 2

Modelo de medida

Fuente: AMOS SPSS Ver 25.0

Que las dimensiones consideradas responden al siguiente constructo teórico mediante el siguiente modelo de medida de ecuaciones estructurales que se muestra en la tabla 3 y 4.

Tabla 3

Validación del modelo de medida.

Medir

Estimar

Umbral

Interpretación

CMIN

273,166

--

--

DF

109,000

--

--

CMIN/DF

2,506

Entre 1 y 3

Excelente

CFI

0,943

>0,95

Aceptable

RMSEA

0,060

<0,06

Aceptable

Pclose

0,033

>0,05

Aceptable

Fuente: AMOS SPSS Ver 25.0

Tabla 4

Covarianzas de las variables latentes del modelo de medida

Covariances: (Group number 1 - Default model)

Correlations: (Group number 1 - Default model)

Estimate

S.E.

C.R

P

Label

Estimate

F1 <..> F2

F1 <..> F3

F1 <..> F4

F5 <..> F2

F2 <..> F3

F2 <..> F4

F5 <..> F2

F3 <..> F4

F5 <..> F3

F5 <..> F4

,195

,254

,347

,175

.294

,403

,223

,462

,267

,370

,035

,040

,051

,030

,042

,052

,035

,052

,036

,045

5,596

6,313

6,792

5,750

7,031

7,707

6,317

8,841

7,435

8,281

***

***

***

***

***

***

***

***

***

***

par_14

par_15

par_16

par_17

par_18

par_19

par_20

par_21

par_22

par_23

F1 <..> F2

F1 <..> F3

F1 <..> F4

F5 <..> F2

F2 <..> F3

F2 <..> F4

F5 <..> F2

F3 <..> F4

F5 <..> F3

F5 <..> F4

,796

,946

,909

,562

,970

.936

,635

,982

,695

,678

Fuente: AMOS SPSS Ver 25.0

Por otra parte, la validación del modelo de medida que se expone en la tabla 3, indica que las medidas de ajuste del modelo, como el CMIN/F (Chi-Cuadrado Normado) que es una medida de ajuste de parsimonia del modelo, es el indicador más importante este debe ser menor a 3, el mismo indica el grado de ajuste de los coeficientes o parámetros del modelo, siendo el umbral para este caso de 2,506 considerándose excelente (Hu & Bentler, 1999).

Mientras el Índice de ajuste comparativo incremental (CFI) es una medida de ajuste comparativo de los modelos FIT en la medida que se agregan los índices de condición para optimizar la estimación de sus coeficientes (Schermellleh-Engel, Moosbrugger, & Muller, 2003), el cual para los efectos del caso de estudio se encuentra en un nivel aceptable.

También se consideran aceptables las medidas de ajuste absoluto RMSEA (Raíz del error cuadrático medio de aproximación) y PCLOSE (Prueba de ajuste estrecho) según (Mahatme, 2018), estas indican en qué medida el modelo de ecuación estructural corresponde a los datos empíricos. Se evidencia que todas las covarianzas entre las variables latentes son significativas de acuerdo con el P-valor de la figura 15, lo que indica que las mismas covarían respecto a su media de manera similar. Es decir, para los entrevistados la evolución positiva o negativa de cada una de ellas termina afectando la percepción que estos tienen sobre las demás.

En el gráfico 7 puede evidenciarse que 49,17% de encuestados percibe que la calidad de los servicios públicos es de baja o muy baja calidad, mientras el 13,3% opina lo contrario, que estos son de muy alta o alta calidad y asumiendo una posición más conservadora el 37,53% señala que los servicios son de moderada calidad. En ese sentido, la investigación parte de la hipótesis que ello es consecuencia de la falta de inversión pública neta para generar nuevos bienes y servicios públicos como para la reposición de la depreciación de los bienes y servicios públicos existentes.

Gráfico 7

Calidad de los servicios públicos

Fuente: elaboración propia con base en la encuesta.

Por ello, la percepción ciudadana sobre la calidad de los bienes y servicios públicos en el cantón Machala es que los mismos son de moderada a baja calidad y, por tanto, su confianza en la labor de las instituciones públicas es reducida, como lo señalan Monsiváis, (2019). Esto influye negativamente en los niveles de aceptación política y evaluación de la gestión pública, lo que se traduce en una migración hacia otras ciudades o entidades producto del mal desempeño de los gobiernos locales.

No obstante, Urdaneta et al, (2019), señalan que el PIB nominal del cantón Machala paso del 1,33% del PIB nominal nacional en el año 2007 a 1,97% en el año 2017, pero al realizar dicha medición en términos per cápita a precios constante este paso de $3.065 por habitante en el año 2007 a $5.628 en el año 2019, un crecimiento del 83,62%; mientras el PIB real nacional creció 40,98%, seguramente impulsado en buena medida por la inversión pública 2007-2014, a pesar del desplome en la inversión pública a partir del año 2014.

Finalmente, se procede a efectuar la prueba de hipótesis particular para las variables latentes, el test se plantea como:

Ho: µ ≥ 1431,4 (“La calidad de los servicios públicos en el cantón Machala de la provincia de El Oro, son de una buena calidad”)

H1: µ < 1431,4 (“La calidad de los servicios públicos en el cantón Machala de la provincia de El Oro, no son de una buena calidad”). Los resultados se recogen en la tabla 5.

Tabla 5

Prueba de hipótesis para las dimensiones calidad de los servicios públicos

Valor de prueba = 1431.4

t

gl

Sig.

(bilateral)

Diferencia de medias

95% de intervalo de

confianza de la diferencia

Inferior

Superior

Seguridad

-29369,872

420

0,000

-1431,40000

-1431,4958

-1431,3042

Servicios públicos de la vivienda

-29369,872

420

0,000

-1431,40000

-1431,4958

-1431,3042

Transporte y vías terrestres

-29369,872

420

0,000

-1431,40000

-1431,4958

-1431,3042

Instituciones públicas

-29369,872

420

0,000

-1431,40000

-1431,4958

-1431,3042

Patrimonio

-29369,872

420

0,000

-1431,40000

-1431,4958

-1431,3042

Fuente: SPSS Ver 25.0 (2022)

Las pruebas de hipótesis de t para una muestra donde se confirma, que ninguna de las dimensiones sujetas a estudio alcanza los niveles de buena calidad. Se muestran los cálculos para la validación de hipótesis para un valor de prueba de 1.431,4 para cada una de las dimensiones de la variable calidad de los servicios públicos, donde sig.(bilateral) = 0.000<0.05; por lo que se rechaza la hipótesis nula y se concluye que la calidad de los servicios públicos en el cantón Machala en la provincia de El Oro no son de buena calidad.

6. Conclusiones

Pese a que el sistema de mercado cumple una función importante para la asignación de recursos entre los diferentes agentes que participan de la actividad económica, existen condiciones evidenciadas en la literatura que rescatan la necesidad de inclusión del Estado para que contenga los fallos que se producen cuando hay una mayor dotación de bienes no deseados versus bienes deseados. La provisión de bienes públicos ocurre en el espacio donde el mercado restringe su participación porque una mayor producción le reporta un incremento de su costo marginal y, por tanto, reduce su beneficio esperado. 

Sin embargo, las dotaciones iniciales de bienes públicos y bienes privados sobre la cual se forman las preferencias de los consumidores no son reveladas, sino que sigue una característica de ordinalidad que influye sobre la cantidad de ambos bienes y, que se completa una vez que se satisface la función de utilidad. No obstante, la asignación de bienes públicos se encuentra limitada por la capacidad de gestionar recursos en el presupuesto público mediante acciones de focalización y optimización del gasto o un incremento en la recaudación, en ambos casos se generan presiones sobre la función de bienestar social que dan origen a situaciones de confrontación debido a los dilemas morales sobre los parámetros para justificar una optimización o un incremento de los recursos fiscales.

La evaluación de calidad en los bienes y servicios públicos ha presentado dificultad en su estudio debido a tres razones: (a) demanda altamente estacional producto del cambio demográfico y la variación del ciclo económico, (b) perspectivas morales sobre la evaluación de la política gubernamental con respecto a la provisión de bienes y servicios públicos, y (c) inflexibilidad institucional para el ajuste de recursos particularmente económicos que permitan satisfacer la demanda. De ahí que las consideraciones con respecto a la calidad se deben aproximar mediante el estudio de las percepciones individuales que permiten reconocer un cierto nivel de utilidad con respecto a las preferencias por bienes y servicios públicos y como responden frente a los ciclos políticos de la administración pública.

En este trabajo se ha efectuado un análisis de la provisión de bienes públicos en Ecuador desde el gobierno central y el nivel de Gobiernos Autónomos Descentralizados, en este último grupo se han tomado como unidades de análisis la provincia de El Oro y su capital Machala. Se ha encontrado evidencia que tanto a nivel de la provincia y de la capital, la autoridad pública tiene mayor preferencia de bienes de inversión que bienes de consumo desde el año 2014, lo cual implica una marcada orientación territorial para intentar proveer de bienes que eleven la competitividad local y una mayor inclusión productiva.

Dado que una mayor proporción de gasto fiscal en bienes de inversión versus bienes de consumo no implica por sí mismo que se esté realizando una mejor aplicación del gasto de recursos públicos ni que se perciban como un cambio sustantivo en la calidad de los bienes provistos, fue importante la extensión del análisis a una encuesta de percepción de la comunidad sobre el stock actual de bienes públicos. 

Los resultados mostraron que el 49,17% de encuestados percibe que la calidad de los servicios públicos es de baja o muy baja calidad. Esto sugiere que la comunidad reconoce que la mayor orientación hacia los bienes de inversión no se ha convertido en una mejora sustancial sobre la expectativa de bienestar que debe transmitir la prestación fiscal.

En el levantamiento de encuestas se pudo consolidar los servicios públicos evaluados en cinco dimensiones: (a) seguridad, (b) servicios públicos a la vivienda, (c) transporte y vías terrestres, (d) instituciones públicas y (e) condición patrimonio. Las dimensiones mejor calificadas son (c), (b) y (d) con puntajes de 1168, 1113 y 1055, respectivamente; esto sugiere que la mayor orientación de gasto en bienes de inversión del GAD de Machala se ha centrado específicamente en esas aristas que están ligados sobre la logística, los servicios básicos y las instituciones detrás de la prestación directa. Se puede reconocer que estos bienes han permitido una mayor integración territorial y el acceso a funciones básicas de convivencia. 

Por otra parte, las dimensiones peor calificadas fueron (a) y (e) con puntajes de 946 y 977, respectivamente; esto implica que no hay una orientación por atender los problemas de delincuencia y el mantenimiento de los bienes patrimoniales de la ciudad que lleva a una pérdida de integración con la colectividad y la identidad social de la ciudad. La prueba de hipótesis para identificar si existe percepción de un buen servicio en alguna de las dimensiones indicadas, muestran que todas tienen una significancia bilateral menor a 0.05; por tanto, se rechaza la hipótesis nula y ratifica que los servicios públicos en el cantón Machala en la provincia de El Oro no son de buena calidad.

La contribución de este artículo a la discusión de la literatura es que presenta evidencia sólida para la realidad latinoamericana que los procesos de mayor gasto en bienes de inversión impulsados desde mediados de la década pasada no han sido percibidos como suficientes para mejorar la función de utilidad social. Es importante que los proyectos de modernización llevados a cabo, particularmente en los GADs de Ecuador, se orienten a mejorar las condiciones de productividad y competitividad territorial para lograr un mejor desarrollo local.

Referencias bibliograficas

Akerlof, G. A. (1970). The market for “lemons”: Quality uncertainty and the market mechanism. The Quarterly Journal of Economics84(3), 488. https://doi.org/10.2307/1879431

Aucoin, P. (2012). New political governance in Westminster systems: Impartial public administration and management performance at risk. Governance, 25(2), 177-199. https://doi.org/10.1111/j.1468-0491.2012.01569.x

Carranza, C., & Cisneros, M. (2014). Hacia un sistema de protección social más inclusivo en Ecuador. Políticas Sociales, 85. https://www.ecuadorencifras.gob.ec/documentos/web-inec/POBREZA/2019/Diciembre-2019/20192_PobrezayDesigualdad.pdf

Chatterjee, S., & Ghosh, S. (2011). The dual nature of public goods and congestion: the role of fiscal policy revisited. Canadian Journal of Economics , 44(4), 1471-1496. https://doi.org/10.1111/j.1540-5982.2011. 01681.x

Chica-Olmo, J., Gachs-Sánchez, H., & Lizarraga, C. (2018). Route effect on the perception of public transport services quality. Transport Policy, 67, 40-48. https://doi.org/10.1016/j.tranpol.2017.03.024

Clifton, J., Fernández-Gutiérrez, M., & García-Olalla, M. (2017). Including vulnerable groups in financial services: Insights from consumer satisfaction. Journal of Economic Policy Reform, 20(3), 214-237.

Crandall, R., & Ellig, J. (1997). Economic Deregulation and Customer Choice: Lesson for the Electicity Industry. (G. M. University, Ed.) The Center for Market Processes.

Fernández-Carro, R., & Lapuente, V. (2016). The Emperor´s clothes and the Pied Piper: Bureaucracy and scientific productivity. Science and Public Policy, 43(4), 546-561.

Global Development Policy Center- GDPC (2021). Comparative Economic Systems: Capitalism and Socialism in the 21st Century. Boston: Boston University. https://www.bu.edu/eci/files/2021/08/Comparative-Economic-Systems.pdf

Herd, P., & Moyniham, D. (2019). Administrative burden: Policymaking by others means. Russell Sage Foundation.

Houthakker, H. (1950). Revelead Preference and the Utility Function. Económica, XVII (1950).

Hsiao, C., & Lin, J. (2008). A study of service quality in public sector. International Journal of Electronic Business Management, 6(1), 29-38.

Hu, L., & Bentler, P. (1999). Cutoff criteria for fit indexes in covariance structure analysis: Conventional criteria versus new alternatives. Structural Equation Modelin, 5(1), 1-55. https://doi.org/10.1080/10705519909540118

Mahatme, V. (2018). Travel motivations: Evaluating a measurement scale. 6(9), 41-50.

Mardiyanto, D. (2018). Analysis of community perception of public service quality in office social insurance administration organization of health (BPJS KESEHATAN) Surakarta City. International Journal of Economics, Business and Accounting Research, 2(4). https://journal.stie-.aas.ac.id/index.php/IJEBAR/article/veiw/487/250

Martner, R. (2006). Política fiscal y protección social. Ilpes, 53. https://repositorio.cepal.org/handle/11362/7309

Monsiváis Carrillo, A. (2019). La calidad percibida de los servicios públicos locales y la confianza institucional en México. Región y Sociedad, 31, e1206. https://doi.org/10.22198/rys2019/31/1206

Palacios-Gómez, J. (2014). Revisión y crítica del papel de las expectativas en las escalas para medir la calidad percibida del servicio. Methaodos Revista de Ciencias Sociales, 2(1), 59-71. https://dialnet.unirioja.es/descarga/articulo/4875505.pdf

Parkin, M., & Loria, E. (2010). Microeconomía. Versión para Latinoamérica (Novena ed.). Pearson Educación.

Prakash, G. (2019). Understanding service quality: insights from the literature. Journal of Advances in Management Research16(1), 64–90. https://doi.org/10.1108/jamr-01-2018-0008

Samuelson, P. (1954). The pure theory of public expenditure. The review of Economics and Statistics, 36(4), 387-389. http://www.jstor.org/stable/1025895

Schermellleh-Engel, K., Moosbrugger, H., & Muller, H. (May de 2003). Evaluating the fit of structural equation models: Tests of significance and descriptive goodness-of-fit measures. MPR-Online, 8, 23-74.

Singh, J. (2016). Quality of public goods, public policy and human development: A state-wise analysis. Indian Journal of Human Development, 10(2), 1-21. https://doi.org/10.1177/0973703016654537

Social Policy and Development Centre. (2016). Citizens´ perception of public services. Research Report 97. https://gsdrc.org/document-libray/citizens-perceptions-urban-public-services/

Spence, M. (1973). Job Market Signaling. The Quarterly Journal of Economics , 87(3), 355-374. https://doi.org/10.2307/1992010

Stigler, G. (1950). The Development of Utility Theory. Journal of Political Economy, LVIII, 327, 373-396.

Stiglitz, J., & Rosengard, J. (2015). Los fallos del mercado. En La Economía del Sector Público (4ta ed.). Antoni Bosch Editor.

Suzuki, K., & Demircioglu, M. (2020). Is impartially enough? Government impartially and citizens´ perception of public service quality. Governance, 34, 727-764. https://doi.org/10.111/gove.12527

Urdaneta, A., González Ordóñez, A., Luciani Toro, L., & Borgucci, E. (2019). Valor Agregado y Nivel Competitividad de las Pymes en el Cantón Machala. Ecuador. Visionario Digital, 3(2), 245-265. https://doi.org/10.33262/visionariodigital.v3i2.422

Walsh, K. (1991). Quality and public services. Public Administration, 69(4), 503-514. https://doi.org/10.111/j.1467-9299.1991.tb00917.x

Williamson, P., Wan, F., Yin, E., & Lei, L. (July-Septemer 2020 de 2020). Is disruptive innovation in emerging economies different? Evidence from China. Journal of Engineering and Technology Management, 57. https://doi.org/10.1016/j.jengtecman.2020.101590