Universidad del Zulia (LUZ)

Revista Venezolana de Gerencia (RVG)

Año 26 No. Especial 6 2021, 245-265

ISSN 1315-9984 / e-ISSN 2477-9423

COMO CITAR: Labarca Ferrer, N., Márquez Ortiz, L., y Useche Castro, L. (2021). De la teoría del crecimiento económico exógeno al endógeno: un recorrido analítico y conceptual. Revista Venezolana de Gerencia, 26(Especial 6), 245-265. https://doi.org/10.52080/rvgluz.26.e6.15

De la teoría del crecimiento económico exógeno al endógeno: un recorrido analítico y conceptual

Labarca Ferrer, Nelson*

Márquez Ortiz, Luis**

Useche Castro, Lelly***

Resumen

Toda sociedad requiere expandir y diversificar su capacidad productiva. El desafío de las naciones y sus gobiernos es lograr incrementos significativos de los ingresos (renta per cápita) y de las formas de vida de los individuos. El objetivo de este trabajo es dar cuenta de los aspectos teóricos que han determinado el tránsito desde los modelos exógenos a los endógenos. Para eso se desarrolló una investigación bibliográfica, empleando un corpus basado en los principales economistas que han abordado el tema. Se encuentran como algunos resultados que desde mediados de 1940 se han desarrollado toda una serie de modelos conocidos como de crecimiento exógeno, con el capital y el trabajo como variables principales (Solow, 1956). Sin embargo, se determinó que existe otro factor que ese modelo no recogía explícitamente, los desarrollos posteriores al modelo de Solow (1956) fueron y son un esfuerzo para endogeneizar ese tercer factor. Se concluye, que los modelos posteriores a Solow (1956), en especial los de Lucas (1988), Rebelo (1991) y Romer (1986), representaron avances significativos en cubrir las falencias de los modelos exógenos, pero basados en tasas de ahorro estables.

Palabras clave: Crecimiento; crecimiento exógeno; crecimiento endógeno; factores de producción.

Recibido: 20.07.21 Aceptado: 15.10.21

* Doctorado en Ciencias sociales Mención gerencia, Universidad del Zulia, Venezuela; economista; Docente principal, Universidad Técnica de Manabí; Ecuador; E-mail: nelson.labarca@utm.edu.ec; ORCID: https://orcid.org/0000-0001-8846-769X

** Doctorado en Ciencias económicas, Universidad de Matanzas, Cuba; Licenciado en Educación Comercial; Docente principal, Universidad Técnica de Manabí, Ecuador; E-mail: luis.marquez@utm.edu.ec; ORCID: https://orcid.org/0000-0002-4801-1337

*** Doctorado en Estadística, Universidad Central de Venezuela, Venezuela; Ingeniero industrial; Docente principal, Universidad Técnica de Manabí, Ecuador; E-mail: lelly.useche@utm.edu.ec; ORCID: https://orcid.org/0000-0002-4294-9009

From the theory of exogenous to endogenous economic growth: a conceptual journey

Abstract

Every society needs to expand and diversify its productive capacity. The challenge for nations and their governments is to achieve significant increases in income (per capita income) and in the way of life of individuals. The objective of this work is to account for the theoretical aspects that have determined the transition from exogenous to endogenous models. For this, a bibliographic research was developed, using a corpus based on the main economists who have approached the subject. As some results, a whole series of models known as exogenous growth have been developed since the mid-1940s, with capital and labor as main variables (Solow, 1956). However, it was determined that there is another factor that this model did not explicitly include, the developments after the Solow model (1956) were and are an effort to endogenize this third factor. It is concluded that the models after Solow (1956), especially those of Lucas (1988), Rebelo (1991) and Romer (1986), represented significant advances in covering the shortcomings of the exogenous models, but based on savings rates stable.

Keywords: Growth, Exogenous growth, Endogenous growth, production factors.

1. Introducción

Todo sistema económico como parte de un sistema social, no es un ente estático. La necesidad de atender los requerimientos materiales de las personas ha impulsado a los Estados a través de los gobiernos a desarrollar formas cada vez más eficientes y efectivas de que las sociedades puedan garantizar, al menos, su supervivencia y una vez logrado este objetivo transitar por el camino del bienestar material como afirma Borgucci (2000). Para que esto último sea una realidad, se ha demostrado que es imprescindible el crecimiento del sistema económico. De esta manera, el crecimiento económico se puede sintéticamente conceptualizar como el incremento de la capacidad de una nación para producir bienes y servicios de acuerdo a la opinión de Gutiérrez y Colina (2013), así como de Raupp y Raupp (2018). Sin dejar de mencionar que este incide en el dinamismo global de recuperación económica como alternativa al apoyo de a través de créditos externos (León, Cevallos y Quito, 2017).

Ahora bien, para dar cuenta de la expansión del sistema económico se emplea como medida el producto interno bruto real (en adelante PIB). Éste puede crecer, disminuir, ser estable o inestable en el tiempo. Es decir, existe una relación entre el comportamiento de esta agregado macroeconómico y el tiempo1. Estos comportamientos del PIB real se expresan en series de tiempo y el público lo que ve son señales de ese crecimiento en la opinión de Urdaneta, Borgucci y Jaramillo (2021).

Como por ejemplo: que existen mayor número de empresas creadas (frente a las que cierran), que las empresas que experimentan un aumento en sus ventas y beneficios son en una cantidad mayor con relación con aquellas que experimentan caída de ventas y/o beneficios, que el número de personas con empleo crezca o que los gremios empresariales exportadores anuncien cifras de aumento de exportaciones. En fin, la sensación de que el bienestar material de los ciudadanos es de mayores/menores ingresos, baja/alta inflación, entre otros aspectos siguiendo a Molero et al, (2020).

Pero un aspecto es la economía material, lo que el ciudadano siente acerca de su bienestar material y otro es el estudio de esta situación. A lo primero se le denomina crecimiento económico desde el punto de vista material y lo segundo el crecimiento desde el punto de vista formal. Lo primero es la actividad económica concreta y lo segundo es la vía cómo se accede al conocimiento de lo que se conoce comúnmente como realidad económica. Este último, lo estudia la teoría del crecimiento económico y metodológicamente hace uso de los llamados modelos de crecimiento económico.

En consecuencia, el objeto de este trabajo es dar cuenta de los aspectos teóricos que han determinado el tránsito desde los modelos de crecimiento económico exógeno a los de carácter endógeno partiendo del modelo de Solow (1956). En ese sentido, metodológicamente se abordará un corpus partiendo de Solow (1957) y Swan (1956), donde se expone el esquema neoclásico de crecimiento exógeno, exponiendo sus limitaciones de carácter teórico. Seguidamente se presentará uno de los primeros modelos de tipo endógeno Rebelo (2005) y posteriormente el esquema de Lucas (1988) y finalmente el modelo de Romer (1986), mostrando cómo enfoca las externalidades de capital.

2. El punto de partida: el modelo de crecimiento económico exógeno de Solow-Swan

La producción, dadas ciertas cantidades de capital y trabajo, va a depender del estado de la tecnología. Por otra parte, cuando el stock de capital crece más rápido que el número de trabajadores, el capital se intensifica elevando la producción per cápita, el producto marginal del trabajo y los salarios según Molero (2014). Además, si la tecnología sigue siendo la misma, el capital mostrará rendimientos decrecientes, lo cual hace que la tasa de rendimiento del capital disminuya. El modelo de Solow- Swan se sostiene en dos ecuaciones básicas. La primera ecuación del modelo es una función de producción de rendimientos marginales decrecientes, del tipo Cobb-Douglas (1928), que vincula el producto por trabajador con el capital por trabajador.

La función de producción, en términos de producto por trabajador , es neoclásica, del tipo Cobb-Douglas , con tecnología exógena , los rendimientos constantes a escala y la derivada de la función es decreciente, cóncava2. Además, es el capital por trabajador3:

Donde la acumulación neta de capital es igual a la inversión bruta y al ahorro privado es la propensión marginal al ahorro asumida como constante, menos la depreciación del capital físico, asumida también como estable el stock de capital . Si el ahorro privado es, a su vez, una proporción constante del producto , la anterior ecuación se convierte en la ecuación de acumulación de capital siendo la tasa de depreciación que se asume como constante:

Dividiendo entre , y empleando letras minúsculas para identificar a las variables en términos per capita. Luego, reemplazando la ecuación de la función de producción en términos intensivos en la ecuación, se obtiene la ecuación fundamental del modelo de Solow:

Según esta ecuación, el capital por trabajador se eleva cuando la inversión bruta por trabajador, es mayor que la depreciación por trabajador . En el equilibrio estacionario, el capital por trabajador debe permanecer constante . Introduciendo está condición en la ecuación anterior, tenemos:

La segunda es la identidad de las cuentas nacionales de una economía cerrada sin gobierno, donde la acumulación neta de capital físico es igual a la inversión bruta menos la depreciación. La inversión bruta, a su vez, se financia con la parte del ingreso disponible que las familias no destinan al consumo. Cuando la inversión por trabajador es mayor que la depreciación del capital físico por trabajador, el capital por trabajador crece, y al contrario. Ahora bien, para obtener el capital en el estado estacionario se procede de la siguiente manera, gráfico 1:

Sea , dividiendo esto entre se tiene:

Si . Así, el lado izquierdo es la curva de depreciación u el derecho la curva de ahorro. Para obtener, entonces se procede a:

Este es el punto de equilibrio entre la curva de ahorro y la de depreciación.

Gráfico 1

Estado estacionario en el modelo de Robert Solow

Fuente: Elaboración propia (2021).

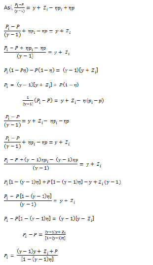
Lo antes expuesto llevó a desarrollar la llamada “regla de oro” de crecimiento económico. Sea: Si y , entonces, si se quiere buscar el equilibrio que maximice el bienestar en términos de maximizar el consumo agregado, hay que incluirlo:

Despejando el consumo agregado se tiene:

Calculando la derivada parcial de respecto de se tiene:

La condición de maximización es si

Despejando se tiene:

Así, el capital per cápita es el capital-oro (estado estacionario), que al cotejarlo con , las diferencias vienen de . Así, se producen tres casos: S = S (oro); S1 > S (oro) y S2 < S (oro).

Si S1 > S (oro), el equilibrio está en el punto 1, a la derecha de E (gráfico 2). Aquí se consume menos y ahorra más. Sin embargo, como no se maximiza el consumo, éste es un sub-óptimo.

Con respecto a E se le considera como “ineficiencia dinámica” ya que S1 > S (oro). Ante esta situación, el gobierno busca estimular el consumo (desahorro). Así, el ahorro caería menos que proporcionalmente y caería proporcionalmente, ya que es una bisectriz y

Gráfico 2

Estado estacionario en el modelo de Solow-Swan con la regla de oro

Fuente: Elaboración propia (2021).

Como se podrá apreciar en el siguiente gráfico 3, se parte de una situación inicial indicada con un nivel de consumo por debajo del nivel de consumo (oro). En consecuencia, para llegar a un equilibrio óptimo en el proceso económico, la política pública, agenciada por el gobierno o los particulares, deberá adoptar medidas tendientes a promover el consumo final de los hogares. Llegará un momento en que el consumo actual supere al correspondiente a la regla de oro y progresivamente el consumo agregado actual se equiparará con el consumo oro. Necesariamente, en el proceso, el ahorro tenderá a disminuir y el crecimiento del capital per capita actual tenderá a disminuir hasta equipararse con el correspondiente de la regla de oro.

Gráfico 3

Ajuste del consumo para alcanzar la regla de oro

Fuente: Elaboración propia (2021).

Con S2, el equilibrio se produce en el punto 2, por debajo del equilibrio de la “regla de oro”. Se presenta un sobre consumo (gráfico 2). En este caso, la política económica sería agenciar medidas para estimular el ahorro y desestimular el consumo agregado tanto público como privado.

Como se podrá observar en el gráfico 4, se tiene una situación inicial en que el ahorro se encuentra en niveles inferiores a la regla de oro. En ese sentido, el gobierno o los agentes económicos agencias decisiones y acciones tendientes a estimular el ahorro, afectando el consumo. El asunto es que si la sociedad está acostumbrada a disfrutar de cierto nivel de consumo, deberá atravesar un periodo de austeridad, en que deberá sacrificar sus niveles actuales de consumo por niveles menores en un futuro. Solamente la efectividad de la política económica podría acortar el periodo de ajuste hasta que al crecimiento del capital per cápita alcanza al correspondiente nivel de oro.

Gráfico 4

Ajuste del ahorro para alcanzar la regla de oro

Fuente: Elaboración propia (2021).

Las estrategias antes expuestas apuntan a lograr crecimientos de la actividad económica con un equilibrio estable suponiendo una tasa estable de ahorro. Sin embargo, esta cualidad en el modelo de Solow (1956) significa que el crecimiento económico a largo plazo es un fenómeno solo de carácter transitorio.

Si crece dado un determinado entonces crece . Es decir, se pasa del punto E1 a E (gráfico 5). Sin embargo: y trae, al menos una consecuencia adversa: dado que la pérdida de crecimiento del ahorro es mayor que el crecimiento del PIB, lleva a que la curva de ahorro se intercepte con la recta de depreciación (gráfico 5). En consecuencia, en el modelo de Solow, el crecimiento es solamente un fenómeno a corto plazo.

Gráfico 5

Ajuste del ahorro para alcanzar la regla de oro

Fuente: Elaboración propia (2021).

Ante esta limitación del modelo, se realzó un intento para solucionar el problema. La idea es que A crezca sistemáticamente o . No obstante, esta mecánica se agota en el tiempo. Como A es sistemática la curva de ahorro (CA) se desplaza y podría existir la posibilidad de crecimiento.

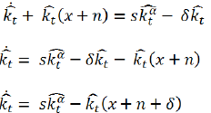
La posible solución al problema del crecimiento económico en el largo plazo con el modelo de Solow, es considerar al progreso técnico como su causa fundamental (no necesariamente la única). El asunto es que el comportamiento del progreso técnico es exógeno al modelo. Así, se tiene que . La remuneración al trabajo es “w” y es equivalente a la productividad marginal del capital y la remuneración al capital es “r” y es equivalente a la productividad marginal del capital, gráfico 6. Entonces:

Es decir, la renta se agota en K y en L, por lo tanto no hay recursos para investigación y desarrollo. Por lo tanto una de las formas que se propuso para resolver este problema fue el desarrollo del modelo Solow (1957) con progreso técnico. Sea la siguiente expresión . En la expresión anterior, es el progreso técnico incluido, la expresión es el trabajo como variable neutral en el sentido de Harrod que equivale a trabajo eficiente.

Por otra parte se define el capital por unidades de trabajo eficiente como .

Además de lo antes expuesto . Por otra parte

Así,

Dividiendo la expresión anterior entre se tiene

Para justificar

Obteniendo se tiene que

Agrupando términos:

La expresión anterior es la Ecuación fundamental con progreso técnico exógeno, que al llevarla a términos per cápita queda de la siguiente forma:

La expresión es la curva de ahorro y la expresión es la llamada curva de depreciación. Como se podrá apreciar en el gráfico 7, si CA > CD y a medida que el ahorro se aplica, el ritmo de crecimiento deva disminuyendo hasta que alcanza el estado estacionario en el punto EE, la intercepción entre Cd y CA.

Gráfico 6

Estado estacionario del crecimiento con progreso técnico exógeno

Fuente: Elaboración propia (2021).

La interrogante es ¿Dónde se encuentra el crecimiento?

Si

Si

En consecuencia, el ritmo de crecimiento del capital por trabajador es constante, por lo que determina el ritmo de crecimiento de y del . En resumen, del modelo de Solow (1956, 1957), dado un nivel del capital por trabajador, un aumento de la tasa de ahorro, al elevar el ahorro interno, ceteris paribus, eleva la inversión bruta por trabajador, situándola por encima de la depreciación. Como la inversión es superior a lo necesario para reponer el desgaste del capital, se eleva el stock de capital por trabajador y con ello la producción por trabajador.

Por otro lado, puede también observarse que la otra conclusión esencial del modelo de Solow (1957) es que la tasa de ahorro no afecta al crecimiento económico, pero sí al nivel de producto per cápita en el largo plazo. Este modelo descompone el crecimiento en acumulación de capital y trabajo, a lo que se suma como variable residual no observable el estado de la tecnología4, cuyo comportamiento se considera exógeno. En el corto plazo, con un stock de capital fijo, el crecimiento de la producción se ve truncado por la productividad marginal decreciente del factor trabajo; y en el largo, por los rendimientos constantes a escala de la función de producción. En este contexto, la productividad total de los factores sólo puede mejorar mediante el progreso técnico y sin éste, no hay crecimiento posible.

En el caso concreto, de Rebelo (1991), todos los factores de producción son una forma de capital y de hecho L es una forma de capital denominado capital humano. Los supuestos del modelo de Rebelo (1991) se sintetizan así: 1) es un modelo de rendimientos constantes a escala; 2) ; y 3) no cumple con las condiciones de Inada. Luego, partiendo de 5, se tiene el siguiente desarrollo:

Finalmente Si esta expresión se presenta en términos de capital per cápita queda . Esto último es la ecuación fundamental del crecimiento económico.

Entre el equilibrio propuesto por Rebelo (1991) y la idea de estado estacionario de Solow (1956, 1957) con progreso técnico se pueden establecer ciertas diferencias: 1) en el esquema de Rebelo (1991) hay crecimiento a largo plazo, mientras que en Solow (1956) no; 2) en Rebelo (1991), el crecimiento económico se explica con las variables del modelo, mientras que para Solow (1957) es exógeno; 3) para Rebelo (1991) no hay convergencia económica entre las diferentes economías, con Solow se parte de la hipótesis de que es posible la convergencia entre naciones6, ya que las grandes crecen cada vez a menores tasas y las pequeñas, al exhibir mayores tasas de crecimiento tenderían a alcanzar a las grandes; 4) para Rebelo (1991) no hay convergencia, ya que siempre la economía estaría en estado estacionario, pero solo endógenamente y con Solow existe una dinámica hacia el estado estacionario, es decir, se supone siempre su posibilidad; 5) las catástrofes naturales siempre afectarán al crecimiento económico, mientras que para Solow, estas solo tienen un efecto transitorio; y 6) para Rebelo (1991) no existe la ineficiencia dinámica, mientras que para en el esquema de Solow esto es una posibilidad cuando (gráfico 7)

Gráfico 7

Expansión de la economía sin llegar al estado estacionario

Fuente: Elaboración propia (2021).

Como se podrá apreciar en el gráfico 8, al obviar las condiciones de Inada y considerar al capital de una forma diferente a Solow, Rebelo (1991) considera que por mucho que crezca el capital por trabajador, ese crecimiento no se satura, no se agota. El gráfico, en su segunda parte muestra cómo las curvas de sA y . De igual forma, como lo muestra la gráfica, el crecimiento del capital per cápita garantiza tanto una mayor depreciación como es de esperarse, pero también del consumo y el ahorro lo que son señal clara de la expansión de la economía.

Un modelo que trabajó en la misma línea similar a la de Rebelo (1991) fue Robert Lucas (1988). El aporte de Lucas (1988) se centra en desarrollar su modelo desde una función de utilidad e incorporar la idea de función de demanda agregada. En ese sentido sus principales supuestos son: 1) en donde la expresión de la izquierda es la cantidad de producción generada por la economía y la expresión de la derecha es la cantidad de trabajo empleada en esa economía; 2) es decir, el consumo agregado en una economía es equivalente al ingreso nominal (numerador) entre el índice de precio de la economía (denominador) por producto; 3) luego se tiene que cumplir la identidad ; 4) en que la función de utilidad U por producto depende directamente del consumo e inversamente de la cantidad trabajada; por tanto, al utilidad marginal constante del consumo y una desutilidad marginal creciente del trabajo. En consecuencia, la oferta de los productores constará de:

La anterior expresión se aplica en el supuesto de que los mercados son competitivos. Así, el individuo elige trabajar para maximizar su utilidad sobre la base de dados. En este sentido, la condición de primer orden sería .

Despejando se tiene que .

Aplicando logaritmos naturales a la expresión anterior se tiene . Es decir, la oferta de trabajo per cápita y la producción son crecientes en relación a los precios relativos.

Desde el lado de la demanda agregada en el modelo de Lucas (1988) se tiene que la demanda de un bien cualquiera depende del ingreso real, el precio relativo del producto y un impacto (shock) aleatorio en las preferencias de los consumidores.

Sea . En donde es la demanda del productor del bien “i”, es el logaritmo natural del ingreso real, es un impacto sobre la demanda del bien “i” y es de subrayar que tiene media igual cero sobre todos los bienes, es el coeficiente de elasticidad precio relativo a nivel de precio de la demanda, en donde .

El ingreso real es igual al promedio de la demanda de cada bien . Por tanto, el equilibrio parte de y lo que se busca es despejar P.

La anterior expresión indica de que el precio de equilibrio del bien “i” depende directamente del ingreso real y, directamente del impacto aleatorio en las preferencias y directamente del nivel general de precios P.

Ahora bien, se desea conocer el valor de equilibrio de y con P y para ello se toma el valor . Eso significa que el valor de equilibrio de y es igual a 0. Como el logaritmo del promedio del producto es 0, el nivel es 1.

Se debe notar también que la función de producción depende del trabajo y que se ha normalizado al nivel de pleno empleo con . Es decir, el pleno empleo, ya sea de horas semanales o de 20 días de trabajo al mes es igual a 1. Como el modelo es de corte walrasiano, siempre se supone que la población activa corresponde a la población ocupada y está siempre se encontrará en pleno empleo. El pleno empleo surge debido a que el agente representativo selecciona “óptimamente” el número de horas a trabajar así como el número de horas correspondiente de ocio. Al conocerse los precios de equilibrio y como el trabajador tiene expectativas racionales, sabe elegir el número de horas a ofertar. Es decir, el nivel de empleo y de producción agregada será siempre óptimo.

3. Las externalidades de capital: el crecimiento según Romer (1986)

Cuando se habla de las externalidades de capital se hace referencia a que cuando una empresa invierte, adquiere no solamente bienes de capital fijo (activos fijos brutos), sino que adquiere la forma de emplearlos y obtener de ellos el máximo rendimiento, mediante la experiencia acumulada. No obstante, lo que hace una empresa es seguido por otras debido a la competencia en el mercado. Se produce hace un proceso de desborde de los conocimientos prácticos en el uso de la nueva tecnología y los bienes de producción. En conclusión una nueva inversión implica la puesta en marcha de nuevos conocimientos. De esta manera, para Romer (1986) las externalidades de capitalson equivalentes ao capital agregado de la economía y que el producto por trabajadorestá en función de las externalidades de capital .

Sea la siguiente función de producción donde representa el nivel de renta agregada, A la productividad de los factores, el acervo de capital de la economía, el nivel de trabajadores de la economía y es la externalidad de capital en donde es el peso de la externalidad en la función de producción en el supuesto de que cuanto más se invierte, más el sistema económico conoce.

Al substituir la externalidad de capital en el capital agregado queda: Cuando se expresa en términos per cápita la expresión anterior queda de la siguiente manera:

Al dividir entre y entre queda:

Esto se lleva a términos per cápita y queda: .

Como el modelo de Romer (1986) es con tasas constantes de ahorro, es necesario dejar en claro los supuestos que se deben asumir. Estos supuestos son: 1) la tasa de ahorro es constante y se representa como donde es el nivel de ahorro de la economía, es la propensión marginal al consumo, es decir por cada unidad monetaria que genere la economía una parte se ahorra y finalmente es el nivel de ingreso total de la economía; es decir, el ahorro es una parte de los ingresos totales que recibe ese sistema económico y el resto es consumo en el supuesto implícito de que se trata de una economía cerrada y sin gobierno; 2) la tasa de depreciación de todos los activos productivos de la economía es también constante; 3) la población es y se supone que la tasa de crecimiento de la población es muy pequeño y por eso se asume como estable .

En consecuencia, dado una determinada tasa de depreciación la inversión corresponderá a la expresión siguiente:donde es el desembolso de recursos efectuado y que está representado por un incremento en el acervo de capital y el capital que se ha desgastado y que contablemente se recoge con el coeficiente de tasa de depreciación .

La ley de acumulación de capital con tasas de ahorro constante parte de que la renta es igual al consumo más la inversión y también es igual al ahorro, es decir: y donde es el consumo agregado. Por tanto, Si entonces: y despejando que es la ley de acumulación de capital.

Para obtener la ecuación de crecimiento con estabilidad en el ahorro, a la ley de acumulación de acumulación de capital se divide entre Entonces:

En consecuencia se tiene: Con relación a se debe desglosar así:

Aplicando logaritmos y derivadas de tiempo se tiene: donde

Despejando se tiene: Luego:despe-jando se tiene Al sustituir en es decir: En consecuencia: y despejandose obtiene la ecuación fundamental del crecimiento con tasa de ahorro estable:

En este punto, se procede a especificar la función de producción con externalidades de capital. Antes como n = 0 por se tiene que: Esta es la ecuación fundamental del crecimiento de Romer (1986) con externalidades de capital. Para obtener la especificación en términos de tasa de crecimiento, se divide todo entre :

El resultado es que la tasa de crecimiento del capital per capita está en función, de manera directamente proporcional, con la propensión marginal al ahorro, el capital por trabajador y la población ajustado por la tasa de depreciación. Además, la forma del crecimiento de la economía estará dependiendo de la expresión. Esto último, implica el análisis de tres posibilidades: 1) si ; 2) si y 3) .

En el primer caso, la externalidad es muy pequeña, la curva de ahorro sigue el comportamiento de la función de producción. Si la curva de ahorro tendrá pendiente negativa y la brecha entre ahorro y depreciación se cerrará en el punto del estado estacionario si (gráfico 8).

Gráfico 8

Caso donde las externalidades son pequeñas

Fuente: Elaboración propia basada en Romer (1986).

El capital per cápita será mayor cuanto mayor sea la población, que es un efecto escala lo cual es lo deseado. En el segundo caso, la curva de ahorro es , por lo que el crecimiento dependerá de , dado que el exponente de es igual a cero. Esto se asemeja un poco a la solución de Rebelo (1991), (gráfico 9).

Gráfico 9

Caso donde

Fuente: Elaboración propia basada en Romer (1986).

En el tercer caso, donde, es el caso donde la externalidad es muy grande. Se está frente a la situación de que la curva de depreciación es superior a la del ahorro y eso implica que el capital disponible se está agotando, tiende a disminuir y esa disminución dependerá de la pendiente de la curva de ahorro. En conclusión la economía tendería a destruirse progresivamente, gráfico 10.

Gráfico 10

Caso donde

Fuente: Elaboración propia basada en Romer (1986)

4. Conclusiones

Desde el surgimiento del modelo Solow (1956) y Swan (1956), la teoría del crecimiento económico ha experimentado grandes transformaciones y ha demostrado que el crecimiento económico desde el punto de vista material, de la realidad empírica de las naciones, no cuenta con una receta definitiva. Sin embargo, los esfuerzos están concentrados en, al menos, dos cosas: 1) el desarrollo de modelos de crecimiento endógeno a partir de Solow (1956) y Swan (1956). Así, en este trabajo se expuso tres de esos modelos Lucas (1988), Rebelo (1991) y Romer (1986). Con relación a este último, se especifica un tipo claro de externalidad que se convirtió en variable endógena. Esa variable es la externalidad de capital. El modelo de Romer (1986) abrió las puertas a formas de abordar el crecimiento endógeno.

No obstante, hay desafíos pendientes tanto para este modelo como para los que lo continuaron. Esos desafíos son: 1) en el caso primero de Romer (1986), los efectos de escala tienen problemas para ser validados empíricamente como el caso de que un país como Nigeria con más de 150 millones de habitantes debería tener un crecimiento muy superior a Suecia que apenas cuenta con uno 9 millones de habitante; 2) en el casi segundo, solo sería aplicable para un país como la República Popular China y no a un país como Indonesia; 3) con relación al tercer caso, no existe empíricamente un país que tenga tasas de ahorro creciendo ad-infinitum: y 4) dado que los modelos hasta ahora expuestos son con tasas de ahorro estables, no se recoge el comportamiento verdadero de la inversión. Alguna de las soluciones a las externalidades han sido propuestas con el modelo AK (Rebelo, 1991) y las externalidades según Lucas (1988) y con relación a las tasas de ahorro estables, se encuentran los trabajos pioneros de Ramsey (1928), Cass (1965) y Koopmans (1965) y que dieron lugar al modelo Ramsey, Cass, Koopmans (Argandoña, Gámez y Mochón, 1999; Dixit, 1990; Romer, 2002; y Sala-I-Martin, 1994).

Referencias bibliográficas

Argandoña, A., Gámez, C., y Mochón, F. (1999). Macroeconomía Avanzada I y II. McGraw-Hill. Madrid.

Barro, R. (1991). Economic Growth in a Cross-Section of Countries. The Quarterly Journal of Economics, 106(2), 407-443. https://doi.org/10.2307/2937943

Barro, R., y Sala-I-Martin, X. (1991). Convergence across States and Regions. Brooking Papers on Economic Activity, 22(1), 107-182. https://doi.org/10.2307/2534639

Borgucci, E. (2000). El Estado y la regulación de la intervención bancaria en Venezuela desde 1994 a 1995. Telos, 2(2), 217-239.

Cass, D. (1965). Optimum growth in an aggregative model of capital accumulation. The Review of Economic Studies, 32(3), 233-240. http://piketty.pse.ens.fr/files/Cass1965.pdf

Cobb, C., y Douglas, P. (1928). A Theory of Production. American Economic Review, 18(1), 139-65.

Dixit, A. (1990). Optimization in Economic theory. (2da. ed). Oxford University Press. Reino Unido.

Galindo, M., y Malgesini, G. (1994). Crecimiento económico. Principales teorías desde Keynes. McGraw-Hill.

Gutiérrez, J., y Colina, H. (2013). Estudios regionales para el crecimiento económico de Venezuela. Revista Venezolana de Investigación Estudiantil, REDIELUZ, 3(1), 66-75.

Inada, K. (1963). On a Two-Sector Model of Economic Growth: Comments and a Generalization. The Review of Economic Studies, 30(2), 119–127. https://doi.org/10.2307/2295809

Koopmans, T. (1965). On the concept of optimal economic growth. In The Econometric Approach to Development Planning. Amsterdam, NorthHolland.

León Serrano, L. A., Cevallos Gamboa, W., y Quito Vera, Á. (2017). La influencia de la pobreza en el crecimiento económico de Brasil, período 2000-2014. Retos, Revista de ciencias de administración y economía, 7(13). https://doi.org/10.17163/ret.n13.2017.10

Lucas, R. (1988). On the mechanics of economic development. Journal of Monetary Economics, 22(1), 3-42. https://doi.org/10.1016/0304-3932(88)90168-7

Molero, L. (2014). Convergencia en producto per cápita: Evidencia para Suramérica. Revista de Ciencias Sociales, 20(4), 692-705. https://produccioncientificaluz.org/index.php/rcs/article/view/25698/26317

Molero, L., Anchundia, J., Patiño, R., y Escobar, Y. (2020). Crecimiento económico y apertura comercial: Teoría, datos y evidencia (1960-2017). Revista de Ciencias Sociales, 26(4), 476-496. https://doi.org/10.31876/rcs.v26i4.34675

Ramsey, F. (1928). A mathematical theory of saving. The Economic Journal, 38(152), 543-559.

Raupp, E y Raupp, V. (2018). Dictionary of Economic terms. Great Bay Community College Portsmouth, New Hampshire: Blue Impala Press. EEUU.

Rebelo, S. (1991). Long-Run Policy Analysis and Long-Run Growth. The Journal of Political Economy, 99(3), 500-521. http://www.jstor.org/stable/2937740

Rebelo, S. (2005). Real Business Cycle Models: past, present and future. The Scandinavian Journal of Economics, 107(21), 217–238. https://doi.org/10.1111/j.1467-9442.2005.00405.x

Romer, D. (2002). Macroeconomía Avanzada. (2da. ed). McGraw-Hill.

Romer, P. (1986). Increasing returns and long run growth. Journal of Political Economy, 94(5), 1002–1037. https://www.jstor.org/stable/1833190

Sala-I-Martin, X. (1994). Apuntes de Crecimiento Económico. (2da. ed.). Antoni Bosch Editor.

Sala-i-Martin, X. (1996). The Classical Approach to Convergence Analysis. The Economic Journal, 106(437), 1019-1036. https://doi.org/10.2307/2235375

Solow, R. (1956). A contribution to the theory of economic growth. Quarterly Journal of Economics, 70(1), 65–94.

Solow, R. (1957). Technical change and the aggregate production function. The Review of Economics and Statistics. 39(3), 312–20.

Swan, T. (1956). Economic growth and capital accumulation. Economic Record. 32(2), 334–361.

Urdaneta, A., Borgucci, E., y Jaramillo, B. (2021). Crecimiento económico y la teoría de la eficiencia dinámica. Retos, Revista de Ciencias de la Administración y Economía, 11(21), 93-116.