Revista de Ciencias Sociales (RCS)
Vol. XXVII, Número Especial 3, 432-442. pp.
FCES - LUZ ●
ISSN: 1315-9518 ● ISSN-E: 2477-9431
Diversificación
geográfica de las exportaciones de mango ecuatoriano*
Quiñónez
Caicedo, Luisa Nicole**
Quiñónez
Cabeza, Betty Maribel***
Custode Quiñónez, Johanna Alejandra****
Rodríguez
Lara, John Jesús*****
Resumen
La diversificación
geográfica de las exportaciones permite a las empresas mitigar el riesgo al que
están expuestas al exportar a un solo mercado, así como también a lograr
economías de escalas y mayores ingresos. Esta investigación tiene como objetivo
estudiar la diversificación geográfica de las exportaciones de mango
ecuatoriano. La metodología de investigación se basó en un análisis empírico
con alcance exploratorio y enfoque mixto, se realizó el cálculo del Índice Herfindahl-Hirschman durante el periodo 2016-2020,
utilizando datos proporcionados por el Banco Central del Ecuador a nivel de subpartidas del Sistema Armonizado. Los resultados arrojaron
que Ecuador exportó a cerca de 20 destinos en 2020, sin embargo, más del 80% de
las exportaciones se destinaron hacia Estados Unidos, mientras que las
exportaciones a los demás países fueron mínimas. Se concluyó, que la
diversificación geográfica de las exportaciones de mango ecuatoriano se ve más afectada
por factores relacionados a procedimientos nacionales y operatividad de las
instituciones públicas inmersas en el comercio exterior, que no permiten un
crecimiento constante y restan competitividad a las exportaciones.
Palabras clave: Diversificación geográfica;
exportaciones; mango; sector exportador; Ecuador.
Geographical diversification of Ecuadorian mango
exports
Abstract
The geographical diversification of exports allows companies to mitigate
the risk they are exposed to when exporting to a single market, as well as to
achieve economies of scale and higher income. This research aims to study the
geographical diversification of Ecuadorian mango exports. The research
methodology was based on an empirical analysis with exploratory scope and a
mixed approach, the Herfindahl-Hirschman Index was
calculated during the 2016-2020 period, using data provided by the Central Bank
of Ecuador at the level of sub-items of the Harmonized System. The results
showed that Ecuador exported to about 20 destinations in 2020, however, more
than 80% of exports went to the United States, while exports to other countries
were minimal. It was concluded that the geographical diversification of
Ecuadorian mango exports is more affected by factors related to national
procedures and the operation of public institutions involved in foreign trade,
which do not allow constant growth and reduce the competitiveness of exports.
Keywords: Geographic diversification; exports; mango; export sector; Ecuador.
Introducción
La globalización ha llevado
a una evidente aceleración de la economía mundial, generando oportunidades para
las empresas y países que han sabido adaptarse a los rápidos y constantes cambios
del entorno, aunque también creando desafíos y afectaciones para aquellos que
no. Por cuanto, tal como lo señalan Proaño, et al. (2019), en conjunto con el
proceso de industrialización en el ámbito mundial, la globalización “obliga a
los mercados a ser cada vez más competitivos y eficiente, puesto que una de las
características teóricas que tiene este paradigma es la apertura y unificación
de todos los mercados a nivel mundial” (p.83).
Al respecto, Molero,
et al. (2020) señalan que la globalizalización ha sido ampliamente estudiada
desde muchos puntos de vistas y por varios autores desde mediados o finales de
los años ochentas, encontrando que existen efectos positivos sobre el
crecimiento de la economía por medio de la adjudicación de recursos (Samimi y
Jenatabadi, 2014), desarrollo de tecnologías, aprovechamiento de los factores y
mejoras en la productividad, así como también el aumento del capital; sin
embargo, también hallaron efectos nocivos sobre economías con un marco
institucional débil e inestabilidad política.
En
este sentido, la globalización juega un papel importante para las empresas, pues
permite reducir costos y mejorar la competitividad en precios y calidad de los
bienes ofertados. Desde una mirada económica, tiene dos componentes: La
globalización de mercados y la de la producción. Con la globalización de los
mercados, las empresas ofrecen bienes estandarizados fuera del mercado
nacional, es decir, en otros mercados internacionales, esto ayuda a la creación
de un mercado global; por otra parte, la globalización de la produción, permite
a las empresas hallar proveedores alrededor del mundo y aprovechar las ventajas
que dejan las diferencias en precios y calidad de los factores de producción (Ristovska
y Ristovska, 2014).
La globalización de
los mercados, conduce a un proceso de internacionalización de las empresas a
través de las exportaciones hacia nuevos mercados, la cual es entendida, como
una estrategia llevada a cabo con el fin de incrementar las ventas, obtener
mayores ingresos, reducir costos, alcanzar economías de escalas y mayor
productividad, así como competitividad, mitigar el riesgo de sus operaciones y
aprovechar las oportunidades que los mercados internacionales ofrecen (Sarmiento, 2014).
Desde la perspectiva
económica, la diversificación de mercados es necesaria para las economías, contribuye al crecimiento y desarrollo a través de
varios canales, entre estos: Aumentar las fuentes de ingresos y reducir los
efectos adversos de la inestabilidad de las exportaciones en términos de
intercambios comerciales (Osakwe, Santos-Paulino y Dogan, 2018), así como también sufrir menores efectos negativos producto
de los choques externos (Xuefeng y Yaşar, 2016).
La
diversificación también es entendida como uno de los principales determinantes
del crecimiento (Sannasse,
Seetanah y Lamport, 2014). No obstante, aunque
la diversificación de las exportaciones reviste de gran importacia para las
economías, no todas han logrado tener la misma experiencia, pues los países
desarrollados logran una mayor diversificación geográfica de las exportaciones
que los países en desarrollo, aunque en las últimas décadas estos últimos han
intentado penetrar en nuevos mercados (Vahalík, 2015).
En Ecuador, las
exportaciones constituyen una de las principales fuentes de ingresos y
generadoras de liquidez para la economía. La economía ecuatoriana depende de
las exportaciones petroleras y productos primarios (Quinde-Rosales, et al., 2020), por lo que, se ha visto afectada
en gran medida debido a las variaciones en los precios internacionales del
petróleo (Proaño, et al.,
2019). No obstante, las exportaciones no
petroleras constituyen una oportunidad como alternativas para ampliar y diversificar
las exportaciones y no depender altamente de las exportaciones petroleras.
En este sentido, las
exportaciones de frutas tradicionales y en especial no tradicionales y
hortalizas, se convierten en una opción importante, una de estas es el mango (Rodriguez, 2020). De acuerdo a cifras del
Banco Central del Ecuador (BCE, 2021),
el volumen de exportaciones de mango en 2020 fue de aproximadamente
49.160,4 toneladas métricas y alrededor de $35 millones de dólares FOB; sin
embargo, del total de exportaciones, más del 80% fueron destinadas hacia
Estados Unidos, al igual que en al menos los últimos 5 años, seguido de
Colombia con 10,87%, Canadá con 2,47%, Holanda 1,05%; mientras que a los demás
destinos se exportó menos del 1%.
La participación de
Estados Unidos en el total de las exportaciones de mango, se ha mantenido en
alrededor del 80% en los últimos años y los demás destinos continúan siendo los
mismos, por lo que las exportaciones de mango no se han diversificado, no han
logrado entrar, ni penetrar otros mercados.
La diversificación geográfica
de las exportaciones de mango, figura beneficios para el sector exportador en
Ecuador, por lo cual, este artículo tiene como objetivo estudiar la
diversificación geográfica de las exportaciones de mango ecuatoriano. La metodología
se basó en un análisis empírico con alcance exploratorio y enfoque mixto,
realizando el cálculo del Índice Herfindahl-Hirschman
(IHH) durante el periodo 2016-2020, con datos proporcionados por el Banco
Central del Ecuador a nivel de subpartidas del Sistema Armonizado (SA); además,
se indagó en el sector exportador del mango, con el fin de realizar entrevistas
a empresas exportadoras y conocer la situación de las exportaciones.
Por otra parte, el
alcance de la investigación permitió hallar información referente a los
factores que influyen en la diversificación geográfica de las exportaciones de
mango ecuatoriano, como los costos de transporte y logísticos, así como gubernamentales
(Aguirre y Jaramillo, 2015).
De igual manera, a través del enfoque mixto (Hernández, Fernández y Baptista,
2014), se manejó un proceso metodológico para la recopilación de los datos
estadísticos e información a través de fuentes primarias y secundarias.
1.
Diversificación de las exportaciones
La diversificación geográfica de las exportaciones, ha sido el centro de
estudio en las últimas dos décadas, dada la importancia de ampliar la
estructura exportadora de las economías, tanto en la oferta de productos como
en el incremento del número de mercados de destino; esto porque, como Hinlo y Arranguez (2017) indican, las exportaciones en un número reducido de mercados
llevan a los países a sufrir desde vulnerabilidades a inestabilidades futuras
en el mercado nacional; al contrario, al reducir la dependencia, podrían
mitigar riesgos futuros como riesgos económicos dados por la volatilidad e
inestabilidad de las divisas obtenidas, que además, tienen efectos
sobre el crecimiento, el empleo, la
planificación de inversiones, así como en la capacidad de importación y
exportación.
Se ha planteado que
un aumento en la diversificación de las exportaciones de productos como de destinos,
influye en el crecimiento económico de los países. Desde el punto de vista
económico, esta relación podría ser cierta, dado que las exportaciones son un
rubro primordial en el Producto Interno Bruto (PIB) de una economía, por lo
tanto, es propio señalar que un incremento en las exportaciones reflejaría un
aumento en el PIB (Agosin, 2009). En este
sentido, las economías con una oferta exportable diversificada reflejan mayor
PIB, con la particularidad de que registran un crecimiento económico con
tendencia progresiva, en comparación con los países con una oferta exportable
no diversificada.
Vázquez
y Morales (2017) sostienen que se debe considerar los
efectos dinámicos de la diversificación de las exportaciones, debido a que el
crecimiento a largo plazo se relaciona enormemente con la producción y así
extender la oferta exportable de bienes. De esta manera, las economías que
poseen pocas fuentes para el aumento de la productividad, la fuente mayor de inversión
para avances respecto a la diversificación de su cartera comercial, procede de
capitales del extranjero, puesto que los bienes de capital nuevos representan
un cambio en la producción, con esto la apertura de nuevos sectores donde la
productividad de los factores es superior a la de los sectores existentes.
Al respecto, Ghani,
Mahmood y Din (2012) llevaron
a cabo un estudio exploratorio para analizar los determinantes de la
diversificación de mercados a nivel de empresas, utilizando el marco de regresión logística. Este
análisis se basó en la encuesta del estudio “Desafíos relacionados con el
comercio que enfrentan los exportadores en Pakistán”, realizado por el
Instituto de Economía del Desarrollo de Pakistán (PIDE) en conjunto con la
Organización de las Naciones Unidas para el Desarrollo Industrial (ONUDI), la
encuesta consideró una muestra de 157 empresas de las provincias de Sindh y
Punjab, cuya actividad principal es la fabricación de bienes de exportación.
En ese
sentido, las variables consideradas fueron: Mercados de exportación, estructura
de propiedad, tamaño de la empresa y ubicación. Los resultados arrojaron que la
experiencia acumulada de las compañías más antiguas, les otorga mayores
probabilidades de aprovechar las oportunidades y cumplir con los requisitos
para entrar a nuevos mercados internacionales, además que, los factores que
inciden positivamente en la diversificación, son el tamaño y la productividad
laboral, acompañados de economías de escala y costos competitivos. No
obstrante, señalan que las políticas fijadas para promocionar las exportaciones
y la diversificación de mercados, deben estar encaminadas a establecer un clima
adecuado para promover la inversión privada y la expasión empresarial.
Por
su parte, Cos, Colom y
Cabasés (2018) realizaron un estudio
para analizar los factores de las empresas que eligen una estrategia de diversificación
de exportaciones o mercados y cómo ésta ayuda en el desempeño exportador, utilizando
una muestra de empresas exportadoras españolas con una metodología
de regresión logística binomial (para las
hipótesis 1-4) y la prueba de White
para probar la última hipótesis (H5). El estudio permitió lograr un modelo que agrupe
las variables determinantes en el desempeño exportador de las empresas y la
estrategia de diversificación de mercados, y establecer un vínculo entre esta
estrategia y el éxito de las exportaciones.
Concluyendo
este estudio, que el compromiso internacional, el tamaño de la empresa, la edad
y el nivel de propiedad extranjera en el capital social de la empresa, son los
factores que más influyen en la estrategia de diversificación; sin embargo, a
diferencia de otros autores, sostienen que la inversión en innovación, el
sector involucrado y los gastos en actividades de comunicación como porcentaje
de las ventas,
también influyen. Así mismo, hallaron
que el desempeño exportador de cada empresa difiere por sus tamaños, siendo las
empresas grandes o con más experiencia las que adquieren un grado mayor de
diversificación.
Por
otra parte, Shepherd (2010) realizó uno de los primeros estudios sobre los
factores que impulsan la expansión geográfica de comercio de países en
desarrollo, a través de un modelo de Poisson
IV, tomando una muestra de 123 países en desarrollo. El estudio demostró, que
los costos de exportación, aranceles y costos de transporte internacional, son
determinantes importantes de la diversificación geográfica de las exportaciones.
Halló que un 10% en la reducción de los costos de exportación y transporte,
están asociados aproximadamente con un aumento del 6% en el número de mercados
de exportación; mientras que una reducción del 10% de aranceles se relaciona
con un aumento del 5% de la diversificación geográfica de las exportaciones.
Además,
el estudio arrojó que la diversificación geográfica de las exportaciones en los
países pobres, sufren un efecto más fuerte debido a los costos de exportación y,
que los sectores que están relativamente más diferenciados, se ven afectados
mayormente por los costos de exportación y los de transporte, esto según
explica, porque por lo general la diferenciación se asocia con un mayor valor
agregado de fabricación.
La
diversificación geográfica, se ha estudiado ampliamente en las últimas dos
décadas, la importancia de la diversificación como un impulso al crecimiento
económico ha llevado a una tendencia creciente en apostar por entrar a nuevos
mercados, en especial en los países en desarrollo. Amurgo-Pacheco y Pierola (2008),
estudiaron los patrones de diversificación de las exportaciones en los países
en desarrollo, con relación a los márgenes intensivos y extensivos del comercio,
encontrando que la diversificación geográfica muestra más dinamismo que la
diversificación por productos. El estudio también señala, que los costos
comerciales como de transporte y acuerdos comerciales, tienen un impacto
significacitivo en los márgenes intensivos.
Por lo tanto,
existiría una causalidad entre la diversificación de las exportaciones y el
crecimiento, que puede representar un gran incentivo para aumentar el
crecimiento de la economía. Dicho de otra manera, las economías que no cuentan
con una oferta exportable diversificada, tanto en bienes como destinos, no lograrán
extender su ventaja comercial y estarán más expuestas a los choques externos. Las
exportaciones representan un importante rubro en la economía ecuatoriana, la
política comercial busca ampliar la oferta exportable y romper con la
dependencia de las exportaciones petroleras y tradicionales, además de
incrementar los destinos de estas (Quiñónez y
Quiñónez, 2020); por lo cual, siendo el mango parte del rubro de las
exportaciones no tradicionales, se deben estudiar los factores que inciden en su
diversificación geográfica.
2. Exportación de mango
ecuatoriano
La producción de
mango en Ecuador para su comercialización data de 1980, debido a la demanda
exigida por los países industrializados y de la falta de capacidad de los
grandes exportadores de la época para atender dicha demanda (en especial de los
países de Asia). Luego de su introducción en el mercado mundial en la década de
los 90’s, el mango ecuatoriano ha continuado como un referente para las
importaciones de los principales países, por lo que el 84% de la producción es
destinada a exportación.
Durante la última
década, Ecuador ha estado entre los 20 principales países exportadores de mango
a nivel mundial. En 2019, se ubicó en la posición número 16 y representó
aproximadamente el 1,2% de la participación mundial; sin embargo, en los últimos
5 años más del 80% de las exportaciones se han destinado al mercado
estadounidense, a excepción de Colombia y Países Bajos, los demás países
representaron menos del 1% de participación en las exportaciones ecuatorianas
(ver Gráfico I).

Fuente:
Banco Central del Ecuador (2021).
Gráfico I: Participación de los destinos de las exportaciones de mango
ecuatoriano periodo 2016-2020
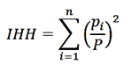
El Índice de Herfindahl Hirschman (IHH),
es utilizado en economía industrial para medir el grado de concentración o
diversificación de los mercados. Este índice es calculado a través de la
siguiente ecuación:
Donde: P es igual a
las exportaciones totales de un país; 𝑝𝑖 es igual a las
exportaciones al país 𝑖;
𝑛
es el número total de países. La suma de los cuadrados de
las participaciones de las exportaciones de cada país en el total de las
exportaciones del país analizado se conoce como Índice de Herfindahl Hirschman.
Un resultado del
indicador IHH <1,000 muestra un Mercado Diversificado; mientras que entre
1,000 < IHH < 1,800 un Mercado Moderadamente Diversificado; IHH >1,800
un Mercado Concentrado; y, IHH = 10,000 un
Monopolio. Sin embargo, debido a que su rango varía dependiendo de la
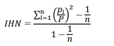
información con la que se cuenta, se utiliza el Índice de Herfindahl-Hirschman Normalizado (IHHN), que no es más que una
normalización del rango que varía entre 0 y 1; así, un IHH<0.1 representa un
Mercado Diversificado; entre 0.1 < IHH < 0.18 un Mercado Moderadamente
Diversificado; un IHH > 0.18
un Mercado Concentrado, mientras que un IHH = 1 un
Monopolio. El IHHN se calcula de la siguiente manera:
Este indicador es uno
de los más utilizados en economía para medir el grado de concentración o
diversificación de las exportaciones, dado esto, se calculó este índice para
medir el grado de diversificación geográfica de las exportaciones de mango
ecuatoriano para el periodo 2016-2020, tomando datos proporcionados por el
Banco Central del Ecuador, correspondientes al valor total de las exportaciones
por destinos de la subpartida arancelaria 0804502010 durante el periodo
señalado (ver Tabla 1).
Tabla
1
Índice
de Herfindahl-Hirschman
|
2016 |
2017 |
2018 |
2019 |
2020 |
|
0,7 |
0,8 |
0,7 |
0,8 |
0,7 |
Fuente: Banco Central del Ecuador (2021).
Como muestran la
Tabla 1 y Gráfico II, las exportaciones de mango ecuatoriano se encontraron
altamente concentradas con un índice mayor o igual a 0,7 durante el periodo
analizado. El IHHN fue de 0,7 en 2016; 0,8 en 2017; 0,7 en 2018; 0,8 en 2019; y,
0,7 en 2020 (ver Tabla 1). Estos resultados son explicados al analizar el
Gráfico II, que muestra la participación de los destinos de las exportaciones
de mango ecuatoriano durante el periodo analizado, donde más del 80% de las
exportaciones se destinaron al mercado estadounidense.

Fuente: Banco Central
del Ecuador (2021).
Gráfico II: Índice de Herfindahl-Hirschman
3. Factores que influyen en
las exportaciones de mango ecuatoriano
La diversificación
geográfica de las exportaciones de mango ecuatoriano, se ve afectada por varios
factores como la falta de gestión por parte de las autoridades gubernamentales,
para cumplir con los requisitos solicitados por las autoridades de otros países,
como en el caso de las exportaciones al mercado chileno, que en 2020 no se
logró exportar a este destino, mientras que en años anteriores se exportaba
entre 20 a 25 contenedores. La apreciación del dólar frente a otras monedas,
también influye en la diversificación y resta competitividad en precios.
Otros factores están
relacionados con el despacho de los contenderos y las instituciones del Estado.
Uno de los casos más comunes se da con la policía antinarcóticos, que solicita
realizar inspección física de los contenedores; sin embargo, esto no es posible
porque los contenedores de frutas, en especial los destinados al mercado
estadounidense, deben llevar un sello colocado por un funcionario del Servicio
de Inspección Sanitaria de Plantas y Animales (APHIS) del Departamento de
Agricultura de los Estados Unidos, a través del ARCSA, debido a un convenio
entre el APHIS, ARCSA y la Fundación Mango Ecuador.
Entre los términos, se
indican que, el contenedor no puede ser abierto en el puerto de origen luego
que el sello es colocado, caso contrario no será recibido en el puerto de
destino; pese a estas indicaciones por parte de los exportadores y Fundación
Mango Ecuador, cada año abren entre uno o dos. Así mismo, otro de los factores se
relaciona con el tiempo que toma obtener permisos y requisitos en las
instituciones públicas.
Por otra parte, los factores
logísticos también afectan las exportaciones, debido a que las empresas reciben
los contenedores sucios y no pueden aceptarlos o las navieras los envían tarde,
esto retrasa la logística de las empresas, que deben enviar los contenedores
máximo 12 horas antes de que el barco inicie a ser cargado. Así mismo, la falta
de acuerdos comerciales con socios comerciales clave como Estados Unidos y
México, afecta a las exportaciones; en el caso de Estados Unidos, el mango se
ve beneficiado con la reducción arancelaria del 0% debido al Sistema General de
Preferencias (SGP), sin embargo, este venció el 31 de diciembre de 2020; pero
con relación a México, el mango ecuatoriano ingresa con un arancel entre el 12
y 13%.
De igual manera, en
cuanto al transporte, se encontró que, no hay rutas aéreas frecuentes a
destinos del mercado asiático, a través de la cual es mayormente conveniente
transportar el mango, por el tiempo de traslado; sin embargo, el costo es muy
elevado por la falta de frecuencias, lo que obliga a las empresas a continuar
exportando a los mercados tradicionales como Estados Unidos.
Conclusiones
Las exportaciones de
mango, representan una importante oportunidad para diversificar la oferta
exportable ecuatoriana, generar ingresos provenientes de productos no
petroleros y no tradicionales e irse apartando de la dependencia de los
ingresos provenientes del petróleo. Este artículo tuvo como objetivo estudiar
la diversificación geográfica de las exportaciones de mango ecuatoriano, así, el
cálculo del Índice de Herfindahl Hirschman de
las exportaciones de mango ecuatoriano durante el periodo 2016-2020, mostró que
las exportaciones se encuentran altamente concentradas en un solo mercado, el
resto de los mercados, a excepción de Colombia y Países Bajos, representaron
una participación mínima.
Asimismo, se halló
que las exportaciones se ven afectadas por problemas logísticos, la falta de
acuerdos comerciales, la falta de frecuencias de las navieras hacia otros
destinos, los costos altos del transporte, pero principalmente, por factores
que se relacionan con instituciones del sector público inmerso en el comercio
exterior, como la Policía Antinarcóticos y, la gestión pública del Ecuador, que
no permiten un crecimiento constante y restan competitividad a las
exportaciones.
Finalmente, es imperioso
la coordinación entre las autoridades del Estado, los exportadores y gremios
que intervienen en las exportaciones de esta fruta, que representa un rubo
significativo en las exportaciones de frutas no tradicionales para el Ecuador, de
manera que se sociabilicen los problemas que enfrentan al ingresar a nuevos
mercados, a fin de gestionar, así como agilitar las negociaciones
internacionales, beneficiando al sector exportador del mango y a la economía
nacional.
Agosin, M. R. (2009). Crecimiento y diversificación de las
exportaciones en economías emergentes. Revista Cepal, (97), 117-134. https://repositorio.cepal.org/bitstream/handle/11362/11274/097117134_es.pdf?sequence=1&isAllowed=y
Aguirre, J. C., y Jaramillo, L. G. (2015). El papel de la
descripción en la investigación cualitativa. Cinta de Moebio, (53), 175-189. https://doi.org/10.4067/S0717-554X2015000200006
Amurgo-Pacheco, A., y Pierola, M. D. (2008). Patterns of Export Diversification in Developing Countries:
Intensive and Extensive Margins. Policy Research Working Paper (4473). https://openknowledge.worldbank.org/bitstream/handle/10986/6447/wps4473.pdf?sequence=1&isAllowed=y
Banco Central del Ecuador – BCE (2021). Comercio Exterior. Estadísticas de Exportación de Bienes: Exportaciones por Subpartida y
País Destino. BCE. https://www.bce.fin.ec/index.php/comercio-exterior
Cos, P., Colom, A., y Cabasés, Á. (2018). Geographic export diversification: Determinants and their
link with export performance. Thunderbird International Business Review, 61(2), 397-411. https://doi.org/10.1002/tie.21991
Ghani, E., Mahmood, T., y Din, M-U.
(2012). Market diversification and firms’ characteristics of export-oriented manufacturers
in Pakistan. The Pakistan Development Review, 51(2), 103-115.
Hernández, R., Fernández, C., y
Baptista, P. (2014). Metodología de la investigación. McGraw-Hill.
Hinlo, J. E., y Arranguez, G. I. S. (2017). Export Geographical Diversification and Economic Growth Among
ASEAN Countries. MPRA Paper, (81333). https://mpra.ub.uni-muenchen.de/id/eprint/81333
Molero, L. E., Anchundia, J. C., Patiño, R. J., y Escobar,
Y. M. (2020). Crecimiento económico y apertura comercial: Teoría, datos y
evidencia (1960-2017). Revista de Ciencias Sociales (Ve), XXVI(4),
476-496. https://doi.org/10.31876/rcs.v26i4.34675
Osakwe, P. N., Santos-Paulino, A. U., y Dogan, B. (2018). Trade dependence, liberalization, and exports diversification
in developing countries. Journal of African Trade, 5(1-2), 19-34. https://doi.org/10.1016/j.joat.2018.09.001
Proaño, S. A., Quiñonez, E. S., Molina, C. J., y Mejía,
O. G. (2019). Desarrollo económico local en Ecuador: Relación entre
producto interno bruto y sectores económicos. Revista de Ciencias Sociales
(Ve), XXV(1), 82-98. https://doi.org/10.31876/rcs.v25i1.29598
Quinde-Rosales, V., Bucaram-Leverone, R., Saldaña-Vargas,
M., y Diaz-Campo, C. (2020). Relación entre los ingresos petroleros y el gasto
público ecuatoriano. Revista de Ciencias Sociales (Ve), XXVI(3),
118-129. https://doi.org/10.31876/rcs.v26i3.33237
Quiñónez, M. R., y Quiñónez, L. N. (2020). Política de
comercio exterior en Ecuador: Un análisis comparativo. Centro Sur. Social Science Journal,
4(2), 266-284. http://www.centrosureditorial.com/index.php/revista/article/view/81/214
Ristovska, K., y Ristovska, A. (2014). The Impact of Globalization on the Business. Economic
Analysis, Instituto
de Ciencias Económicas, 47(3-4), 83-89.
Rodriguez, J. (2020). Factores que influyen en la exportación de mango ecuatoriano a nuevos
mercados (Proyecto de investigación de pregrado). Universidad Ecotec, Guayaquil, Ecuador.
Samimi, P., y Jenatabadi, H. S.
(2014). Globalization and Economic Growth: Empirical Evidence on the Role of
Complementarities. PLoS ONE, 9(4), e87824. https://doi.org/10.1371/journal.pone.0087824
Sannasse, R. V., Seetanah, B., y Lamport, M. J. (2014).
Diversificación de las exportaciones y crecimiento económico:
el caso de Mauricio. En M. Jansen, M. S. Jallab y M. Smeets (Comps.), Conectarse
a los mercados mundiales. Retos y oportunidades: Estudios de casos presentados
por titulares de cátedras OMC (pp. 11-25). Organización Mundial del Comercio.
Sarmiento, S. (2014). Estrategias de internacionalización
y globales para países en desarrollo y emergentes. Dimensión Empresarial, 12(1), 111-138.
Shepherd, B. P. (2010). Geographical
diversification of developing country exports. World Development, 38(9),
1217-1228. https://doi.org/10.1016/j.worlddev.2010.02.005
Vahalík, B. (2015). Analysis of
export diversification development of the European Union and BRICS countries. Ekonomická
Revue – Central European Review of Economic Issues, 18, 59-69.
Vázquez, R., y Morales, R. A. (2017). Diversificación de
las exportaciones y competitividad externa en la industria. Hacia la
construcción de una tipología para el caso de países de ingresos medios. Cuadernos
de Economía, 40(114), 208-222. https://doi.org/10.1016/j.cesjef.2016.09.002
Xuefeng, Q., y Yaşar, M. (2016). Export Market Diversification and Firm Productivity: Evidence from a Large
Developing Country. World Development, 82,
28-47. https://doi.org/10.1016/j.worlddev.2016.01.017
* Este documento es un
producto generado a partir del proyecto de investigación intitulado: “Impacto
Socioeconómico del Puerto Marítimo en la Provincia de Esmeraldas del periodo
2010 al 2017”. Financiado por la Universidad Técnica de
Esmeraldas Luis Vargas Torres, Ecuador.
** Magíster en Dirección del
Comercio Exterior e Internacionalización de Empresas. Ingeniera en Comercio
Exterior mención Negocios Internacionales. Investigadora Invitada en el
proyecto Impacto Socioeconómico del Puerto Marítimo en la Provincia de
Esmeraldas del periodo 2010 al 2017 de la Universidad Técnica de Esmeraldas
Luis Vargas Torres, Ecuador. E-mail: nicolequinonezc@hotmail.com
ORCID: https://orcid.org/0000-0002-7290-8662
*** Magíster en Dirección y
Administración de Empresas (MBA). Ingeniera Comercial. Docente de la
Universidad Técnica de Esmeraldas Luis Vargas Torres, Ecuador. E-mail:
betty.quinonez@utelvt.edu.ec ORCID: https://orcid.org/0000-0002-3964-2153
**** Magíster en Dirección del Comercio Exterior e
Internacionalización de Empresas. Ingeniera en Comercio Exterior. Docente de la
Universidad Técnica de Esmeraldas Luis Vargas Torres, Ecuador. E-mail:
johanna.custode.quinonez@utelvt.edu.ec ORCID: https://orcid.org/0000-0002-0891-9359
***** Licenciado en
Administración de Empresas con énfasis en Negocios Internacionales. E-mail: jjrodriguezlara9@hotmail.com ORCID: https://orcid.org/0000-0002-5406-6174
Recibido: 2021-02-24 · Aceptado:
2021-05-15