Inter-relação entre Transparência Pública, Corrupção, Variáveis Socioeconômicas e Políticas nos estados brasileiros no período de 2015 a 2016

Pedro Henrique da Costa Silva, Wellington Ribeiro Justo y

Roberta de Moraes Rocha

Resumo

Os esforços impelidos pela Controladoria-Geral da União – CGU para avaliar o grau de cumprimento de dispositivos da Lei de Acesso à Informação (LAI) e diminuir a incidência de corrupção no país possibilitaram a criação de metodologias de medição da transparência pública de estados e municípios. Essas exigências respondem à pressão da sociedade brasileira por mais transparência e responsabilidade dos gestores O presente trabalho analisou os 27 estados brasileiros no período de 2015 e 2016. Foram estimados modelos com dados em painel identificando a influência da percepção de corrupção, de variáveis socioeconômicas, financeiro-orçamentárias e políticas no índice de transparência dos estados brasileiros. Características como a taxa de analfabetismo, a região geográfica e a condição financeira podem cooperar para incidência de transparência e diminuir a prática de atos ilícitos.

Palavras-chave: Transparência; Corrupção; Escala Brasil Transparente; Estados

Universidade Federal de Pernambuco. Caruaru, Brasil. E-mail: ph-pedro11@hotmail.com

ORCID: 0000-0002-8159-284X

Universidade Federal de Pernambuco / Universidade Regional do Cariri. Iguatu, Ceará, Brasil. E-mail: justowr@yahoo.com.br

ORCID: 0000-0002-4182-4466

Universidade Federal de Pernambuco. Caruaru, Brasil. E-mail: roberta_rocha_pe@yahoo.com.br

ORCID: 0000-0001-8111-7734

Recibido: 02/06/2021 Aceptado: 11/11/2021

Interrelationship between Public Transparency, Corruption, Socioeconomic and Political Variables in brazilian states from 2015 to 2016

Abstract

The efforts driven by the Comptroller General of the Union - CGU to assess the degree of compliance with provisions of the Access to Information Law (LAI) and reduce the incidence of corruption in the country, enabled the creation of methodologies for measuring the public transparency of states and counties. These requirements respond to pressure from Brazilian society for more transparency and accountability from managers. The present study analyzed the 27 Brazilian states in the period 2015 and 2016. Models with panel data were estimated to identify the influence of socioeconomic, financial-budgetary and political variables on the transparency index of Brazilian states. Characteristics such as the illiteracy rate, the geographical region and the financial condition can cooperate for the incidence of transparency and decrease the practice of illegal acts.

Keywords: Transparency; Corruption; Transparent Brazil Scale; States

Introdução

A transparência pública é um fator de relevância social que ganhou maior notoriedade no país com a Constituição Federal de 1988, a qual colocou a disposição da sociedade mecanismos de participação popular direta que possibilitou ao cidadão usufruir de informações dos órgãos e entidades públicas referentes a assuntos de seu interesse, excluindo-se as informações sigilosas - importantes à soberania do Estado. Essa prerrogativa constitucional permitiu aos cidadãos o fortalecimento da cultura de transparência e garantia do Estado de Direito. Assim, as decisões não podem ser contrárias ao que diz a legislação e, desse modo, os direitos fundamentais dos indivíduos são resguardados.

Segundo Piotrowsky e Van Ryzin (2007), a transparência é um desafio para o aperfeiçoamento da administração pública e a melhoria da governança da atualidade. Há várias definições para a transparência, porém, propiciar informação acessível ao cidadão é o fator primordial tangente ao termo. Para Kaufmann e Kraay (2002), a transparência é definida como a divulgação tempestiva de informações de caráter econômico, social e político a quem interessar e de maneira segura.

Sob outra perspectiva, Kopits e Craig (1998) e Bellver e Kaufmann (2005) definem transparência como a ação do governo ou de outra instituição política divulgarem as informações sobre suas atividades. Desse modo, a transparência governamental demonstra a magnitude em que se apresentam as informações sobre suas ações, incluindo as de instituições de interesse público. A transparência é, então, requisito imprescindível nos processos de prestação de contas dos governos à sociedade e entidades de controle (MEIJER, 2013).

No Brasil, com a promulgação da Lei Complementar nº 101/2000, que estabelece normas de finanças públicas voltadas para a responsabilidade na gestão fiscal, acrescida de dispositivos pela Lei Complementar nº 131/2009, que determina as entidades públicas a divulgar relatórios com os resultados da aplicação dos recursos públicos previstos nos documentos orçamentários, promovendo o acompanhamento por parte dos cidadãos da aplicação dos recursos públicos e responsabilizando os gestores que descumprirem os instrumentos legais existentes, foi possível conceder maior robustez à transparência pública.

Disponibilizar as informações de forma transparente e tempestiva acerca da gestão pública e da maneira como os recursos públicos estão sendo aplicados pelos governantes constitui um ato de responsabilidade e compromisso com o erário, o que a literatura denomina de accountability. Embora haja conquistas adquiridas pela sociedade brasileira, a transparência da gestão pública ainda se encontra em um estágio embrionário, justificada pela incipiência na divulgação das informações, inertes em um ambiente cultural e político marcado por interesses diversos e ideológicos (SHARMAN e CHAIKIN, 2009).

Vale salientar que a falta de transparência é comumente relacionada às práticas de corrupção. Estudos de Sharman e Chaikin (2009) mostraram que as condutas corruptivas é o problema financeiro mais significante na maioria dos países em desenvolvimento, e é, talvez, o maior entrave ao desenvolvimento da economia. Além disso, Ellis e Fender (2006) estudaram a relação empírica entre a elevação da taxa de prestação de serviços e do nível de corrupção. Concluíram no trabalho que essa relação depende da transparência fazendária.

Segundo Cucciniello e Nasi (2014), várias pesquisas mostraram que em um governo aberto e transparente a democracia tem mais vigor, proporcionando maiores oportunidades para as boas práticas de controle social, denunciando o abuso de poder e oferecendo igualdade de direitos e cidadania. Políticas públicas que promovem maior transparência e ampliam a participação popular nas decisões de interesse público são mais significativas para a transparência do país.

De acordo com Slomski (2005), com os avanços dos meios de comunicação, acompanhado de transformações importantes no mercado relacionado à sua abertura, podemos incluir a gestão pública. O acesso à internet tem realizado mudanças importantes nos meios de comunicação, permitindo que os cidadãos possam ter acesso às informações de maneira virtual, mesmo com distâncias extensas. Ademais, a internet é um meio de difusão de informação e apresenta um acesso amplo, fato que viabiliza o usufruto em sua completude.

Grau (2005) defende que o desenvolvimento de estratégias de informação e, em geral, a transparência da gestão pública, constitui requisitos indispensáveis para o exercício do controle social sobre os atos da administração pública. O autor garante que a transparência nos atos administrativos é, ao mesmo tempo, agente de democracia, de eficiência e de mudança e sustentação de políticas, por permitir aos atores sociais conhecer, opinar e fiscalizar todas as fases que compõem o processo orçamentário.

No entanto, Moser (2001) condiciona que a transparência fidedigna não se restringe a consentir o acesso a determinadas informações já disponibilizadas, mas, conforme a vontade do gestor público, deve permitir que qualquer cidadão possa obter e explanar as informações de modo a entendê-las em sua totalidade.

Nos últimos anos o Brasil vem passando por grandes descobertas de casos de corrupção com o desdobramento da operação Lava Jato, conduzida pelo Ministério Público Federal – MPF. A Operação Lava Jato é a maior iniciativa de combate à corrupção e lavagem de dinheiro da história do Brasil. Iniciada em março de 2014, com a investigação perante a Justiça Federal em Curitiba de quatro organizações criminosas lideradas por doleiros, a Lava Jato já apontou irregularidades na Petrobras, maior estatal do país, bem como em contratos vultosos (BRASIL/MPF, 2019).

Segundo o Ministério Público Federal (2019), estima-se que o volume de recursos desviados dos cofres públicos esteja na casa de bilhões de reais. Soma-se a isso a expressão econômica e política dos suspeitos de participar dos esquemas de corrupção investigados. Com isso, a incidência de transparência nos estados brasileiros despertou o interesse de atuação em maior magnitude do controle social nos últimos anos.

Assim, surge a pergunta que norteia esse trabalho. De que forma esse novo indicador de transparência se relaciona com a percepção da corrupção e é influenciada por fatores socioeconômicos?

Assim, tem-se um problema de pesquisa que emerge destas discussões, fatos apurados e novas ferramentas que buscam identificar e relacionar essa nova variável disponível para a sociedade em conjunto com variáveis socioeconômicas e políticas.

A partir da contextualização e formalização do problema de pesquisa, o estudo tem como objetivo verificar a incidência de transparência na gestão pública dos estados brasileiros, e, a partir disso, identificar quais fatores socioeconômicos, financeiros e políticos podem estar inter-relacionados à transparência em conjunto com a percepção da corrupção.

Os esforços impelidos pela Controladoria-Geral da União – CGU para avaliar o grau de cumprimento de dispositivos da Lei de Acesso à Informação (LAI) e diminuir a incidência de corrupção no país, possibilitou a criação de metodologias de medição da transparência pública de estados e municípios. Os dados consolidados foram divulgados a partir do ano de 2015, por isso, nesse estudo, a abrangência temporal se limita aos anos de 2015 e 2016 em razão duas edições da Escala Brasil Transparente – EBT, e, ainda, a abrangência espacial se limita as unidades da federação do Brasil.

Para atender os objetivos incialmente se constrói indicadores de transparência para cada estado brasileiro e para cada um dos anos analisados. Em seguida, para atender aos demais objetivos, estimam-se regressões lineares múltiplas com dados em painel tendo a variável de transparência como dependente e a variável de corrupção, socioeconômicas e políticas como explicativas. Assim, a metodologia tem natureza quantitativa.

Esta pesquisa se mostra relevante para apresentar à comunidade científica e as aos estados brasileiros a relação entre transparência e corrupção, e apontar meios de atuação dos órgãos de controle interno, externo e social no combate à corrupção no nosso país.

O artigo está dividido em cinco seções, além dessa introdução. Na segunda seção, será abordado aspectos teóricos da transparência. Na terceira, será discutido dados e a metodologia utilizada. Na quarta, a análise dos resultados. Por fim, as considerações finais.

Aspectos teóricos da Transparência

É formidável que os mecanismos de transparência tenham enfoque no cidadão e colaborem para que a comunidade acompanhe a execução de políticas públicas na promoção do desenvolvimento social e econômico. Den Boer (1998) definia transparência como a habilidade de ver abertamente por meio das janelas da instituição. Sob outra óptica, para Moser (2001), a transparência era resultado das tarefas que não são vistas pelos indivíduos devido à ausência de inclusão nos processos. No entanto, a fim de demonstrar o adequado funcionamento de uma instituição é imprescindível ser transparente.

Segundo Cross (1953), no estado democrático de direito a transparência é primordial, e as atuações devem ser divulgadas, possibilitando ao cidadão exigi-las e responsabilizar os gestores pelas ações que causam externalidade negativas na sociedade. Portanto, autores como Meijer (2009), Etzioni (2010) e Grimmelikhuijsen e Welch (2012) argumentavam que a discussão é importante para compreender os benefícios e desvantagens que a transparência do governo gera, viabilizando a compreensão e a delicadeza desta ação.

Vale salientar que a liberdade de informação já é aplicada em vários países como instrumento legal (CUCCINIELLO e NASI, 2014). No entanto, há uma discussão sobre a delimitação da eficácia da transparência. Autores como La Porte, Demchak e De Jong (2002) e Pina et al. (2010) abordaram esse questionamento referente à transparência. Embora as pesquisas confirmem a importância de se divulgar as informações, é importante salientar que a disponibilização de dados à sociedade é fundamental, mas mínima para atingir os objetivos de uma gestão pública (CUCCINIELLO e NASI, ٢٠١٤).

Segundo Cucciniello e Nasi (2014), apesar da existência de instrumentos legais, observa-se que o acesso à informação é restrito, porém, os cidadãos não se preocupam na forma como o governo decide seus pontos de atuações, o que coloca as decisões à mercê das escolhas incipientes dos gestores.

A participação do cidadão traz vários benefícios para a gestão púbica. As intervenções da sociedade nos processos de decisão do governo resultam em melhoria nos procedimentos de deliberação e gera diversas benfeitorias a comunidade (WEBLER, 1995). Conforme Cucciniello e Nasi (2014), essa maneira de intervenção melhora as escolhas das políticas públicas, refletindo em diversos programas e ações capazes de transformar a sociedade, porém, a transparência é condição necessária para o alcance desses objetivos.

Segundo Meijer (2013), por meio de influência mútua entre uma diversidade de fatores sociais e políticos, incluso em um conjunto de regimentos que dispõem de uma abundância de elementos tecnológicos inovadores e em constante aperfeiçoamento é o que constrói a transparência do governo. Para Hood e Heald (2006), essas interações com diferentes expectativas no ambiente institucional é o que modifica a interação entre os cidadãos e os governantes, influenciando na maneira como as afinidades democráticas se consolidam.

A transparência pública abrange três meios: um observador, algo disponível para ser observado e um meio ou método de observação (OLIVER, 2004). Através da teoria do Agente-Principal observada em Prat (2006), é perceptível que o principal solicita informações do agente para verificar se este está cumprindo com suas obrigações. Logo, a transparência pela troca de informações relacionadas ao funcionamento ou a atuação de um agente como troca de informações pode ser mensurada através da acessibilidade e facilidade de uso.

Estudo de Schultz (1999) aborda o conflito entre países e definem a transparência como uma característica comum a países que conseguem obter informações de outros países sobre as prioridades da população e incentivo às ações do governo. Além disso, estudos de Grigorescu (2003) definem a transparência em organizações internacionais como sendo o intercâmbio de informações entre as entidades e os países. No que diz respeito à Administração Pública, a transparência pode ser compreendida como gerenciamento dos assuntos de interesse público para o público. É o contrário de políticas em que a acessibilidade às decisões se restringe à maneira como são adotadas e o que se ganha ou se perde com elas.

Contribuindo com a literatura, em estudo direcionado a corrupção em um país, a transparência se refere à existência de mecanismos que contribuem para a redução das práticas de corrupção (GRIGORESCU, 2013). Além disso, Sol (2013) focava em seus ensaios que a transparência é um método para reduzir os níveis de corrupção. Becker (1968), na teoria do crime econômico, definia a corrupção como uma atividade ilegal e lesiva ao bem-estar social, na qual há um custo-benefício do indivíduo cometer o crime em detrimento do risco associado à ação do possível ganho e penalidade passível.

Igualmente, Alesina e Perotti (1996) usaram as teorias do Agente-Principal e da Ilusão Fiscal para apresentar as justificativas dos políticos em inibir a transparência. Quanto maior for a dimensão de transparência nos governos, menor será o problema de risco moral, contribuindo para a atuação de um controle social que atuará na minimização de atividades corruptas contra o erário.

No aspecto econômico a transparência se mostra relevante, motivo que enseja a alocação de recursos públicos de forma eficiente, diminuindo as ações de rent-seeking, (HOLMSTRÖM, 1979; SOUZA, 2015). Deste modo, Mauro (1995) afirma que, diminuindo o nível de corrupção, a transparência melhora o contexto do desenvolvimento econômico, aperfeiçoando o método de governabilidade dos países.

Não obstante a transparência no setor público seja de grande interesse socioeconômico, existem estudos empíricos limitados sobre os determinantes da transparência no Brasil (PIOTROWSKI e BERTELLI, 2010; SOL, 2013; BALDISSERA, 2018).

Muitos estudos buscaram mostrar que a divulgação das informações públicas é importante (ALCAIDE-MUÑOZ et al., 2016). No entanto, é notório que há uma disparidade abundante nos resultados, não permitindo conclusões evidentes sobre a temática devido às contradições nesses estudos.

No Brasil, autores como Santana Junior (2008), Cruz (2010), Bairral et al. (2015) e Baldissera (2018) buscaram apresentar os determinantes de transparência no Brasil pelos governos. Santana Junior (2008) realizou um exame de correlação com variáveis diferentes das utilizadas na literatura internacional. Ademais, estimando uma regressão tendo a transparência como variável dependente e variáveis socioeconômicas como independentes, Cruz (2010) obteve avanços no tema, ao mesmo tempo em que se distanciou do contexto abordado pela literatura internacional.

Soares Monteiro et al. (2019) observaram as características que influenciam a percepção de confiança das instituições e corrupção no Brasil concluíram que o tamanho do município, o empenho do governo no combate à corrupção, desempenho do governo na economia, a atuação do presidente da república, a tolerância política, assim como particularidades de região, sexo, idade e renda mostram-se importantes nesse processo.

Outrossim, realizando uma análise nos municípios brasileiros, Fiirst et al. (2017) utilizam variáveis socioeconômicas e financeiras para verificar a questão da transparência pública, porém, há limitações teóricas na discussão. A contribuição recente foi dada por Baldissera (2018), que abordou a transparência a partir da utilização de municípios brasileiros sob a ótica da teoria da escolha.

A Escala Brasil Transparente – EBT é um método para medir a transparência pública em estados e municípios brasileiros. A EBT foi desenvolvida para fornecer subsídios necessários à Controladoria-Geral da União para o exercício das competências que lhe atribuem os art. 59 da Lei Complementar nº 101/2000 e art. 41 da Lei nº 12.527/2011, conhecida como a Lei de Acesso à Informação (BRASIL/CGU, 2019).

As Figuras 1 e 2 mostram os mapas com as notas da transparência pública dos estados brasileiros nos anos de 2015 e 2016 com base nos resultados da Escala Brasil Transparente EBT em duas edições.

Figura 1 Escala Brasil Transparente 2015

EBT 2015.1.png

Figura 2 Escala Brasil

Transparente 2016

EBT 2016.1 (2).png

Fonte: BRASIL/CGU (2020).

Fonte: BRASIL/CGU (2020).

Com base na Figura 1, pode-se constatar que no ano de 2015, os estados da Bahia, Espírito Santo, Goiás, Maranhão, Minas Gerais, São Paulo e o Distrito Federal são os mais transparentes do país, com nota 10 na avaliação. Em contrapartida, o estado do Amazonas obteve nota 1,39 e o Amapá obteve nota 0 na avaliação, configurando-os menos transparentes.

Na avaliação do ano de 2016, os estados brasileiros evoluíram significativamente nas notas de transparência pública, resultado das ações de intensificação da CGU. Apenas o estado do Rio de Janeiro obteve nota 5 e o estado do Amapá continuou com nota 0 na avaliação. Os demais estados da federação obtiveram nota acima de 8 na avaliação de 2016. A situação negativa do estado do Amapá, à época, se justifica pela inexistência de lei que regulamentasse o acesso à informação, bem como a falta de perspectiva da implementação.

Definição das variáveis e fonte dos dados

O presente trabalho analisou os 27 estados brasileiros em um intervalo temporal que compreendeu o período de 2015 e 2016. Este recorte fez-se necessário em razão da limitação temporal dos dados de transparência pública a nível estadual disponibilizados pela CGU.

Os dados foram obtidos a partir do Sistema de Informações Contábeis e Fiscais do Setor Público Brasileiro – Siconfi, Instituto Brasileiro de Geografia e Estatística – IBGE, Controladoria-Geral da União – CGU e do Tribunal Superior Eleitoral – TSE. As estatísticas descritivas são apresentadas no Quadro 1.

Quadro 1 Descrição das variáveis

Fonte: Elaboração dos autores.

A variável representa o número de processos de corrupção em que o Ministério Público Federal – MPF atua em cada estado. A informação está disponível no Mapa da Corrupção do Ministério Público Federal – MPF. Neste estudo está sendo utilizada como proxy de corrupção e é considerada a principal variável independente. Garcia-Tabuyo et al. (2015) utilizaram o indicador de corrupção como variável governamental para analisar a transparência nos países da América Central. Como os dados foram obtidos em escala diferente dos demais indicadores usados neste trabalho, realizou-se o processo de normalização do tipo Re-Scaling anual (BOLL, 2010). A equação de normalização dos dados é a seguinte:

Após a realização do processo de normalização, os dados são convertidos para uma escala que varia no intervalo de [0, 1], sendo zero atribuído ao valor mínimo e 1 atribuído valor ao máximo observado no período.

Outra variável abordada é a , que representa o número de indivíduos analfabetos por estado da federação e será utilizada para mensurar o nível educacional. O uso dessa variável se justifica pela suposição de que uma população mais educada exige mais transparência e consegue compreender as ações do governo de maneira mais evidente (TOLBERT e ZUCKER, 1998). Dessa forma, o cidadão é capaz de ter consciência e disposição para participar das ações político-democráticas que incidem no seu estado e município, logo, espera-se uma relação negativa com a transparência.

Gallego-Álvarez et al. (2010) analisaram municípios de diferentes países e utilizaram uma variável de controle para diferenciar as regiões geográficas em que os municípios se inseriam. Da mesma forma, Baldiserra (2018) utilizou para os municípios brasileiros. Sendo assim, as regiões demográficas do país serão categorizadas com variáveis binárias, em que a região Norte é representada pela sigla , a região Nordeste pela sigla a região Centro-Oeste pela sigla e a região Sudeste pela sigla . A dummy categórica será: (1) se o estado pertencer à respectiva região analisada; se o estado não pertencer à região correspondente será atribuído (0). Nesse estudo, a região Sul será utilizada como referência, portanto, não aparecerá entre as variáveis dummy.

Para a construção das variáveis financeiro-orçamentárias foi necessária a elaboração de cálculos para chegar ao indicador interessado seguindo a lógica adotada por Baldiserra (2018), conforme se apresenta no Quadro 2 a seguir:

Quadro 2 Método de construção das variáveis financeiras-orçamentárias

Fonte: Elaboração dos autores adaptado de Baldiserra (2018).

A variável apresenta a capacidade de a unidade federativa realizar suas despesas correntes com base nas suas receitas correntes, ou seja, busca medir a condição financeira do Estado. Na literatura internacional, os autores usualmente definem essa variável como a capacidade de o governo atender as necessidades do bem-estar social e é mensurada em relação ao nível de empréstimos executados (CABA-PÉREZ et. al., 2008; GUILLAMÓN, BASTIDA e BENITO, 2013; ALCAIDE-MUÑOZ et al., 2016). Fiirst et al. (2017) encontraram relação negativa dessa variável.

A variável consiste nas receitas oriundas de transferências da União comparado as receitas totais do Estado, sendo utilizada como proxy para transferências intergovernamentais. Receber recursos de transferências da União exige que os estados sejam transparentes com a utilização do recurso público, segundo destaca Rodríguez-Bolívar et al. (2013) e Alcaide-Muñoz et al. (2016), inclusive apresentando prestação de contas dos recursos transferidos.

Ademais, a variável indica o quanto das receitas correntes é gasto em investimentos, representando os investimentos de capital realizados no Estado. Cárcaba-García e García (2010) afirmavam que os indivíduos se interessam por proposições públicas que demandam um grande nível de investimento, pois percebem que as condições de vida irão desenvolver positivamente (BALDISERRA, 2018).

Por fim, a variável representa o quanto das receitas correntes é preciso para sobrepor o montante da dívida do estado no longo prazo, diminuído do saldo em caixa e demais haveres financeiros. Dívidas elevadas representam juros mais elevados o que reduz a capacidade do ente em atender aos serviços importantes para o desenvolvimento local (RODRÍGUEZ BOLÍVAR et al., 2016). Não obstante, estudos como o de Pérez et al. (2014) obtiveram relação negativa com a transparência. O autor justificou que esse tipo de disponibilização da informação é um meio de verificar a eficácia do gestor, despertando o interesse dos cidadãos na gestão do orçamento público.

Em relação às variáveis políticas, elas tratam ações do Poder Executivo que podem influenciar o nível de transparência. O nível de polaridade política representa a fragmentação eleitoral dos partidos. Laakso e Taagepera (1979) criaram esse indicador, o qual se mostra consistente nas pesquisas que buscam avaliar a competição política em eleições. Sendo assim, nas unidades da federação a ideologia política é verificada a partir das variáveis binárias de Esquerda (), Direita () e Centro () que representam o viés ideológico que pode influenciar no indicador de transparência. A dummy categórica será: (1) se o governador pertencer à ideologia respectiva; se o governador não pertencer à ideologia correspondente será atribuído (0). Neste estudo, a ideologia de Centro (CEN) foi considerada como a variável de referência. Alt et al. (2006) discorrem que o comportamento dos governantes influencia o nível de transparência à medida que os interesses políticos são prioridades do gestor.

Segundo informações do Tribunal Superior Eleitoral (2020), os partidos em que os governadores pertenciam à ideologia de centro no período estudado são o PMDB, PSDB e PROS, os partidos de esquerda são PT, PC do B, PSB e PDT, enquanto os partidos de direita são PSD e PP.

Metodologia

A metodologia utilizada está baseada em Baldissera (2018), mostrando a influência de variáveis socioeconômicas, financeiro-orçamentárias e políticas no índice de transparência dos estados brasileiros. Serão utilizados dados em painel.

De acordo Greene (2020), os dados em painel detêm técnicas que podem levar em consideração a heterogeneidade. Portanto, podem detectar e medir melhor os efeitos que simplesmente não são observados em um corte transversal puro ou em série temporal pura.

Constituem um conjunto longitudinal que inclui uma amostra de entidades individuais ao longo de um período de tempo. Assim, ele pode incorporar numerosas observações para cada indivíduo da amostra. Permite, ainda, investigar os efeitos econômicos que não podem ser identificados apenas com o uso de cross-section ou apenas séries temporais (PINDYCK e RUBINFELD, 2004).

Em Greene (2020), a equação geral do modelo de dados em painel é dada por:

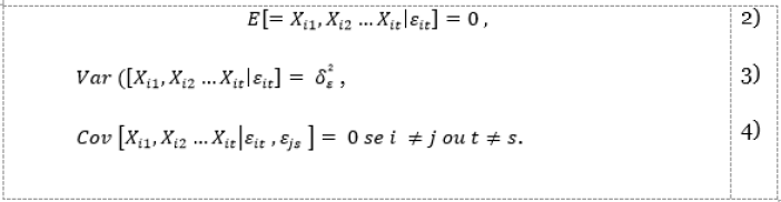
em que representa os efeitos específicos - ou características - das unidades que não variam ao longo do tempo, e o termo de erro. Além disso,

Se as suposições que denominam o modelo original forem atendidas: média condicional zero de , homocedasticidade, independência entre as observações, e estrita exogeneidade do , não há necessidade de análise adicional para os dados. Assim, mínimos quadrados comuns se tornam o estimador eficiente e a inferência pode continuar de maneira garantida (GREENE, 2020).

Considerando as características dos dados de painel apontadas anteriormente, apoiado no modelo de Baldissera (2018), temos a seguinte equação que será estimada:

Resultados

As estatísticas descritivas das variáveis usadas no estudo estão apresentadas na Tabela 1.

Tabela 1- Estatísticas descritivas

Variável

Obs.

Média

Desvio Padrão

Mínimo

Máximo

Índice de Transparência

54

8,14

2,82

0

10

Indicador de Corrupção

54

0,10

0,19

0

1

Taxa de Analfabetismo

54

9,57

5,34

2,72

20,14

Nordeste

54

0,33

0,47

0

1

Centro-Oeste

54

0,14

0,35

0

1

Norte

54

0,25

0,44

0

1

Sudeste

54

0,14

0,35

0

1

Condição financeira

54

1,09

0,07

0,89

1,27

Trans. Intergovernamentais

54

0,41

0,19

0,09

0,86

Investimentos de Capital

54

0,05

0,02

0,01

0,14

Dívida

54

0,72

0,62

0,03

2,33

Ideologia Política – Direita

54

0,11

0,31

0

1

Ideologia Política – Esquerda

54

0,42

0,49

0

1

Fonte: Elaboração dos autores.

A variável de interesse Índice de Transparência foi mínima no estado do Amapá e máxima no Distrito Federal. Com relação às variáveis independentes, o indicador de corrupção apresentou valor mínimo nos estados do Acre e Roraima e valor máximo no Distrito Federal. No que concerne à taxa de analfabetismo o Distrito Federal apresentou o menor percentual, enquanto que o estado de Alagoas registrou o maior percentual.

Em relação às variáveis dummy de região, a menor concentração de estados situa-se na região Sul do país, enquanto a maior concentração está na região Nordeste Quanto à condição financeira o Rio de Janeiro apresentou o menor índice, ao mesmo tempo em que o estado do Amapá apresentou o maior índice. Considerando as transferências intergovernamentais o menor índice foi registrado pelo estado de São Paulo, e, o maior, pelo estado do Amapá.

No que diz respeito aos investimentos de capital o menor índice foi registrado pelo estado do Rio Grande do Sul, ao passo que, o maior, pelo estado do Ceará. No tocante à dívida o menor índice foi registrado pelo estado do Rio Grande do Norte, ficando o estado do Rio de Janeiro com o maior índice. Por fim, em relação à dummy de ideologia política, a menor concentração ideológica de governadores é na ideologia de direita e a maior concentração de governadores é na ideologia de centro

Dessa forma, segue-se com a discussão dos resultados apresentados na Tabela 2. O Modelo com efeitos fixos não é apresentado, visto que foi realizado o teste de Chow e o p-valor da estatística F não foi significante. Desse modo, o modelo Pools se mostra mais consistente. Além disso, como existem muitas variáveis dummy, há uma perda de graus de liberdade, ou seja, apresenta observações insuficientes para uma análise estatística significativa (GUJARATI; PORTER, 2011).

Encontraram-se valores baixos para o Fator de Inflação da Variância – FIV, inferiores a seis, quando a literatura coloca como improvável um valor inferior a 10 a existência de multicolinearidade, confirmando que não há o problema de multicolinearidade prejudicial.

O teste LM de Breuch-Pagan considera H0: modelo Pools e H1: modelo de efeitos aleatórios. Sendo assim, o valor de χ2(2) não apresentou significância, por isso, o modelo Pools apresenta mais consistência. Diante do exposto, serão explorados os resultados do modelo Pools, haja vista que foi o modelo escolhido com base nos testes de especificações.

Tabela 2 - Resultados das estimações dos modelos de dados em painel

Notas: erros-padrão entre parênteses. Níveis de significância ***: 1%; **: 5%; *: 10%..
Os modelos foram rodados com efeitos
cluster, corrigindo a heterocedasticidade e autocorrelação.
Fonte: Elaboração própria dos autores.

Em relação ao coeficiente de determinação (R²), este resultou no valor de 0,4623, ou seja, 46,23% das variações no indicador de transparência são explicadas pela variabilidade das variáveis explicativas utilizadas. Vale salientar que é normal em dados em painel o coeficiente de determinação apresentar valor baixo, porém, a condição é aperfeiçoada quando a estatística F é significativa, o que se evidenciou neste estudo.

Os resultados da estimação mostraram que o coeficiente do indicador de corrupção foi significante a 5% e apresentou sinal negativo, ou seja, há uma relação inversa com a transparência. Isso corrobora com o sinal esperado e com as alegações de Silva e Ferreira (2018) de que a transparência pública se torna imprescindível no combate à corrupção.

O coeficiente da taxa de analfabetismo utilizada para mensurar o nível de educação mostrou-se significante a 10%, e com sinal negativo, implicando que, quanto menor a quantidade de indivíduos analfabetos, maior a transparência nos estados brasileiros. Contudo, seu efeito se torna positivo na incidência de transparência.

No tocante às variáveis binárias de região, todas apresentaram sinais negativos, porém, os coeficientes das regiões Nordeste Centro-Oeste e Norte apresentam significância de 5%, 10% e 5%, respectivamente. Essas regiões apresentam efeito negativo na transparência quando comparada à variável binária de referência que é a região Sul do país. Todavia, para a região Sudeste não apresentou significância. Portanto, não se pode afirmar que o fato dos estados pertencerem à região Sudeste implica ser menos transparente comparado à região Sul Desse modo, não é possível considerar que situações socioeconômicas diversas individualizam as diferentes regiões do Brasil.

Considerando as variáveis orçamentário-financeiras, o coeficiente da condição financeira apresentou significância a 10% e sinal esperado, corroborando com Baldiserra (2018), segundo o qual os gestores são mais transparentes quando estão em evidência na gestão pública. Ademais, a variável que corresponde às transferências intergovernamentais, apresentou coeficiente negativo e significância a 10%, logo, não condiz com o sinal esperado. Tal como destacam Fiirst et al. (2017), a justificativa pode ser em razão de que haja, no Brasil, transferências de recursos que são recebidos sem uma condição de finalidade definida previamente. Posto isso, as transferências intergovernamentais estimulam um aumento nos gastos públicos no ente receptor, desestimulando a arrecadação de impostos. Quanto às variáveis investimento e dívida não apresentaram significância nos seus coeficientes.

No tocante aos indicadores políticos, a variável dummy de Direita apresentou coeficiente positivo, enquanto a dummy de Esquerda apresentou coeficiente negativo, entretanto, ambas não apresentaram significância. Destarte, não é possível afirmar que o fato de os governadores pertencerem à ideologia política de Direita ou de Esquerda implica ser menos transparente comparado à ideologia política de Centro usada como variável binária de referência.

Considerações finais

A transparência é fundamental para dar credibilidade às instituições públicas e diminuir a incidência de corrupção na sociedade. Todavia, necessita ser garantida e ampliada, em razão de ser um forte instrumento de fortalecimento ao controle externo, interno e social, de modo que a participação democrática suscita efeito pontual na diminuição de atos ilícitos como a corrupção.

Para compreender a relação dos fatores enredados na conjuntura socioeconômica, financeiro-orçamentária e política dos estados brasileiros, a literatura contemporânea destaca que corrupção é uma das variáveis que impactam negativamente na transparência. Além disso, neste estudo, foi possível corroborar e verificar que a taxa de analfabetismo, a região geográfica e a condição financeira dos estados podem cooperar para incidência de transparência.

Vale salientar, ainda, que o empenho da Controladoria-Geral da União e do Ministério Público Federal tem contribuído para exigir dos gestores o cumprimento dos dispositivos legais existentes no país, como a Lei Complementar nº 101/2000 (LRF) e a Lei n 12.527/2011 (Lei de Acesso à Informação). Essas exigências respondem às pressões da sociedade brasileira por mais transparência e responsabilidade dos gestores.

A estimação da regressão com dados em painel permitiu enaltecer a importância da percepção da corrupção na transparência, assim como de variáveis socioeconômicas e financeiro-orçamentárias em acordo com a literatura. Contudo, para o período analisado não foi possível identificar efeitos da ideologia dos governantes nos indicadores de transparência.

Por fim, o trabalho contribuiu para a discussão entre transparência e corrupção, bem como para ratificar que existe inter-relação significante. Todavia, é crucial que haja uma ostensiva maior dos órgãos públicos para diminuir os casos de corrupção que assolam suas unidades e afetam negativamente o bem-estar social. Como sugestão para trabalhos posteriores, recomenda-se verificar os desdobramentos de transparência nos estados que apontaram notas baixas na última edição da Escala Brasil Transparente – EBT.

Referências

ALCAIDE-MUÑOZ, L. A., BOLÍVAR, M. P. R.; HERNÁNDEZ, A. M. L. (2016). “Transparency in governments: a meta-analytic review of incentives for digital versus hard-copy public financial disclosures”. The American Review of Public Administration, 47 (5), 550-573.

ALESINA, A., ROUBINI, N., COHEN, G. D. (1997). “Political cycles and the macroeconomy”. Massachusetts: MIT press.

ALESINA, A.; PEROTTI, R. (1996). “Income distribution, political instability, and investment”. European economic review, 40 (6), 1203-1228.

BAIRRAL, M. A. C., SILVA, A. H. C., ALVES, F. J. S. (2015). “Transparência no setor público: uma análise dos relatórios de gestão anuais de entidades públicas federais no ano de 2010”. Revista de Administração Pública, 49 (3), 643-675.

BALDISSERA, F. J. (2018). “Determinantes da Transparência Pública: um estudo em municípios brasileiros sob a ótica da teoria da escolha pública”. Dissertação de Mestrado, Universidade Estadual do Oeste do Paraná, Cascavel, PR, Brasil.

BECKER, G. S. “Crime and Punishment: Na Economic Approach”. Essays in the Economics of Crime and Punishment. Gary S. Becker and William M. Landes, p. 1-54, 1974.

BELLVER, A.; KAUFMANN, D. (2005). “Transparenting Transparency: Initial Empirics and Policy Applications”. The World Bank Research Paper, (8), 1-19.

BOLL, J. L. S. “A corrupção governamental no Brasil: construção de indicadores e análise da sua incidência relativa nos estados brasileiros”. Dissertação (Mestrado em Economia do Desenvolvimento) – PUCRS, 59 f. Porto Alegre, 2010.

CABA PÉREZ, C., BOLÍVAR, M. R., HERNÁNDEZ, A. M. H. (2008). “e-Government process and incentives for online public financial information”. Online Information Review, 32(3), 379-400.

CABA PÉREZ, M., BOLÍVAR, M. R., HERNÁNDEZ, A. L. (2014). “The Determinants Of Government Financial Reports Online”. Transylvanian Review Of Administrative Sciences, 10(42), 5-31.

CÁRCABA-GARCÍA, A. I.; GARCÍA, J. G. (2010). “Determinants of online reporting of accounting information by Spanish local government authorities”. Local Government Studies, 36(5), 679-695.

CHAIKIN, D.; SHARMAN, J. (2009). “Corrupção e lavagem de dinheiro: uma relação simbiótica”Springer.

CROSS, H. L. (1953). “The people’s right to know: Legal access to public records and proceedings”. Columbia: Columbia University Press.

CRUZ, C. F. (2010). “Transparência da gestão pública municipal: referenciais teóricos e a situação dos grandes municípios brasileiros”. Dissertação de Mestrado, Universidade Federal do Rio de Janeiro, Rio de Janeiro, RJ, Brasil.

CUCCINIELLO, M.; NASI, G. (2014). “Transparency for trust in government: How effective is formal transparency?”. International Journal of Public Administration, 37(13), 911-921.

DEN BOER, M. G. W.; DECKMYN, V.; THOMSON, I. (1998). “Steamy windows: Transparency and openness in justice and home affairs”. In V. Deckmyn (Ed.), Openness and Transparency in the European Union (91-105). London: Bussiness and Executive Press.

ETZIONI, A. (2010). “Is transparency the best disinfectant?”. Journal of Political Philosophy, 18(4), 389-404.

FIIRST, C.; COSTA, J. S., BALDISSERAM J. F.; ASTA, D. A. (2017). “A influência de variáveis socioeconômicas e contábeis no índice de transparência eletrônica dos maiores municípios brasileiros, após a lei de acesso à informação”. In: Anais do Congresso Anpcont, Belo Horizonte, MG, Brasil, 11.

GALLEGO-ÁLVAREZ, I.; DOMÍNGUEZ, L. R.; GARCÍA-SÁNCHEZ, I. M. (2010). “Are determining factors of municipal E-government common to a worldwide municipal view? An intracountry comparison”. Government Information Quarterly, 27(4), 423-430.

GARCÍA-SÁNCHEZ, I. M.; ACEITUNO, J. V. F.; DOMÍNGUEZ, L. R. (2013). “Determinants of corporate social disclosure in Spanish local governments”. Journal of Cleaner Production, 39, 60-72.

GARCÍA-TABUYO, M.; SÁEZ-MARTÍN, A.; CABA-PÉREZ, M. D. C. (2015). “Mandatory versus voluntary disclosures: Drivers of proactive information provision by local governments in Central America”. Information Development, 32(4), 1199-1215.

GREENE, W. H. (2020). “Econometric Analysis”, 8th ed., Prentice-Hall Inc., Upper Saddle River, New Jersey.

GRIGORESCU, A. (2003). “International Organizations and Government Transparency: Linking the International and Domestic Realms”. International Studies Quarterly, 47(4), 643- 667.

GRIMMELIKHUIJSEN, S. G.; WELCH, E. W. (2012). “Developing and testing a theoretical framework for computer‐mediated transparency of local governments”. Public administration review, 72 (4), 562-571.

GUILLAMÓN, M. D.; BASTIDA, F.; BENITO, B. (2013). “The electoral budget cycle on municipal police expenditure”. European Journal of Law and Economics, 36(3), 447-469.

GUJARATI, D. N; PORTER, D. C. (2011). “Econometria Básica”. 5 ed. Porto Alegre: AMGH.

HOLMSTRÖM, B. (1979). “Moral hazard and observability”. The Bell journal of economics, 10 (1), 74-91.

HOOD, C.; HEALD, D. (2006). “Transparency: The key to better governance?”. New York: Oxford University Press.

KAUFMANN, D.; KRAAY, A. (2002). “Growth without governance”. Policy Research Working Paper, (2928), 31-59.

KAUFMANN, D.; KRAAY, A. (2002). “Growth without governance”. Policy Research Working Paper, (2928), 31-59.

KOPITS, M. G.; CRAIG, M. J. (1998). “Transparency in government operations”. Washington: International Monetary Fund.

LA PORTE, T. M.; DEMCHAK, C. C.; DE JONG, M. (2002). “Democracy and bureaucracy in the age of the web: empirical findings and theoretical speculations”. Administration & Society, 34 (4), 411-446.

LAAKSO, M.; TAAGEPERA, R. (1979). “‘Effective’ Number of Parties: A Measure with Application to West Europe”. Comparative Political Studies, 12(1), 3-27.

LOWATCHARIN, G.; MENIFIELD, C. E. (2015). “Determinants of Internet-enabled transparency at the local level: A study of Midwestern county web sites”. State and Local Government Review, 47(2), 102-115.

MARTANI, D.; LESTIANI, A. (2012). “Disclosure in local government financial statements: the case of Indonesia”. Global Review of Accounting and Finance, 3 (1), 67-84.

MAURO, P. (1995). “Corruption and growth”. The quarterly journal of economics, 110(3), 681- 712.

MEIJER, A. (2009). “Understanding modern transparency”. International Review of Administrative Sciences, 75 (2), 255-269.

MEIJER, A. (2013). “Understanding the complex dynamics of transparency”. Public Administration Review, 73 (3), 429-439.

SOARES MONTEIRO, V..; JUSTO, W. R.; ROCHA, R. M.; CASTANHEIRA, L. F. (2019). “Características que influenciam a percepção de confiança nas instituições e corrupção no Brasil”. Espacio Abierto, 27(4), 175-196.

MOSER, C. (2001). “How Open Is “Open as Possible”? Three Different Approaches to Transparency and Openness in Regulating Access to EU Documents”. Washington: Institute for Advanced Studies.

OLIVER, R. W. (2004). “What Is Transparency?”. New York: McGraw-Hill.

PINA, V.; TORRES, L.; ROYO, S. (2010). “Is e-government promoting convergence towards more accountable local governments?”. International Public Management Journal, 13(4), 350-380.

PINDYCK, R. S.; RUBINFELD, D. L. (2004). Econometria modelos e previsões”. 4. ed. Rio de Janeiro: Elsevier.

PIOTROWSKI, S. J.; VAN RYZIN, G. G. (2007). “Citizen attitudes toward transparency in local government”. The American Review of Public Administration, 37 (3), 306-323.

PRAT, A. (2006). “The More Closely We Are Watched, the Better We Behave?.” In: C. Hood & D. Heald (Eds.), Transparency: The Key to Better Governance? (pp.91–103). Oxford: Oxford University Press.

RÍOS, A. M.; BENITO, B.; BASTIDA, F. (2013). “Determinants of central government budget disclosure: an international comparative analysis”. Journal of Comparative Policy Analysis: Research and Practice, 15(3), 235-254.

RODRÍGUEZ BOLÍVAR, M. P.; MUÑOZ, L. A.; HERNÁNDEZ, A. M. L. (2013). “Determinants of financial transparency in government”. International Public Management Journal, 16(4), 557-602.

SANTANA JUNIOR, J. J. B. (2008). “Transparência fiscal eletrônica: uma análise dos níveis de transparência apresentados nos sites dos poderes e órgãos dos Estados e do Distrito Federal do Brasil”. Dissertação de Mestrado, Universidade Federal de Pernambuco, Recife, PE, Brasil.

SCHULTZ, K. A. (1999). “Do Democratic Institutions Constrain or Inform? Contrasting Two Institutional Perspectives on Democracy and War”. International Organization, 53(2), 233–266.

SILVA, P.H. C.; FERREIRA, M. O. (2018). “Associações entre percepção de corrupção e crescimento econômico nos países da América do Sul: uma análise com variáveis instrumentais”. Espacio Abierto, v.27(4) 197-217.

SLOMSKI, V. (2005). “Controladoria e Governança na Gestão Pública”. São Paulo: Atlas.

SOL, D. A. D. (2013). “The institutional, economic and social determinants of local government transparency”. Journal of Economic Policy Reform, 16 (1), 90-107.

SOUZA, N. J. (2005). “Desenvolvimento Econômico”. 5. ed. São Paulo: Atlas.

SUCHMAN, M. C. (1995). “Managing legitimacy: Strategic and institutional approaches”. Academy of management review, 20 (3), 571-610.

TOLBERT, P. S.; ZUCKER, L. G. (1998). “A institucionalização da teoria institucional”. In: S. R. Clegg, C. Hardy, & W. R. Nordy (Orgs.), Handbook de estudos organizacionais: modelos de análise e novas questões em estudos organizacionais (pp. 196-219). São Paulo: Atlas.

WEBLER, T. (1995). “Right” discourse in citizen participation: an evaluative yardstick”. Fairness and competence in citizen participation, 10, 35-77.

Documentos oficiais

BRASIL. “Constituição da República Federativa do Brasil”. Disponível em: <http://www.planalto.gov.br/ccivil_03/constituicao/constituicao.htm>. Acesso em: 22 out. 2019.

BRASIL. “Controladoria-Geral da União”. Disponível em: <https://www.cgu.gov.br/>. Acesso em 30 out. 2019.

BRASIL. “Lei Complementar nº 101, de 4 de maio de 2000. Estabelece normas de finanças públicas voltadas para a responsabilidade na gestão fiscal e dá outras providências”. Disponível em: <http://www.planalto.gov.br/ccivil_03/leis/lcp/lcp101.htm>. Acesso em: 11 nov. 2019.

BRASIL. “Lei nº 12.527, de 18 de novembro de 2011. Regula o acesso a informações previsto no inciso XXXIII do art. 5º, no inciso II do § 3º do art. 37 e no § 2º do art. 216 da Constituição Federal; altera a Lei nº 8.112, de 11 de dezembro de 1990; revoga a Lei nº 11.111, de 5 de maio de 2005, e dispositivos da Lei nº 8.159, de 8 de janeiro de 1991; e dá outras providências”. Disponível em: <http://www.planalto.gov.br/ccivil_03/_ato2011-2014/2011/lei/l12527.htm>. Acesso em: 11 nov. 2019.

BRASIL. “Ministério Público Federal”. Disponível em: <http://www.mpf.mp.br/>. Acesso em 30 out. 2019.